【導讀】濾波器是我們大家都熟悉的一個常用設備,無線通信,軍事,科技等領域到處都有濾波器的身影。隨著科技的發展,對濾波器的要求也越發的提高了起來,傳統的濾波器已經很難滿足需求,小編今天就帶來這樣一款高端大氣上檔次的濾波器,請大家盡情的享用吧!
根據多模激勵的單腔體諧振器原理以及基片集成波導(SIW)高Q值、低損耗、大功率容量的特點,提出了一種新的SIW方形腔體雙膜濾波器的設計方法。該方法 通過在SIW腔體兩個對稱角上切角作為微擾來使簡并模式分離并產生耦合,從而形成了中心頻率在 4.95GHz的窄帶帶通濾波器,并最終采用直接過渡方式實現了SIW到微帶的轉換。
SIW的雙膜諧振器具有一對簡并模式,可以通過對諧振器加入微擾單元來使這兩個簡并模式分離,因此,經過擾動后的諧振器可以看作一個雙調諧電路。分離的 簡并模式產生耦合后,會產生兩個極點和一個零點。所以,雙膜濾波器在減小尺寸的同時,也增加了阻帶衰減。而且還可以實現較窄的百分比帶寬。可是,雙膜濾波 器又有功率損耗高、插入損耗大的缺點。為此,本文提出了一種新型SIW腔體雙膜濾波器的設計方法。
該SIW的大功率容量、低插入損耗特性正好可以對雙膜濾波器的固有缺點起到補償作用。而且輸入/輸出采用直接過渡的轉換結構,也減少了耦合縫隙的損耗。l 雙膜諧振原理及頻率調節
SIW是一類新型的人工集成波導,它是通過在平面電路的介質層中嵌入兩排金屬化孔構成的,這兩排金屬化孔構成了波導的窄壁,圖1所示是基片集成波導的結 構示意圖。這類平面波導不僅容易與微波集成電路(MIC)以及單片微波集成電路(MMIC)集成,而且,SIW還繼承了傳統矩形波導的品質因數高、輻射損 耗小、便于設計等優點。

1.基片集成波導諧振腔
1.一般情況下,兩個電路的振蕩頻率越接近,這兩個電路之間的能量轉換需要的耦合就越小。由于諧振腔中的無數多個模式中存在著正交關系,故要讓這些模式耦合 發生能量交換,必須對理想的結構加擾動。但是,為了保持場結構的原有形式,這個擾動要很小。所以,本文選擇了SIW的簡并主模TE102和 TE201,它們的電場分布圖如圖2所示。因為TM和TEmn(n10)不能夠在SIW中傳輸。因此,一方面可以保證在小擾動時就可以實現耦合,同時也可 以保證場的原有結構。


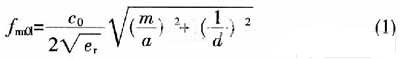
假設圖3所示的矩形腔體的長、寬、高分別為a、b、d。因為TEmn(n10)不能在SIW中傳輸,所以對于SIW諧振腔來說,其諧振頻率的計算公式如下:

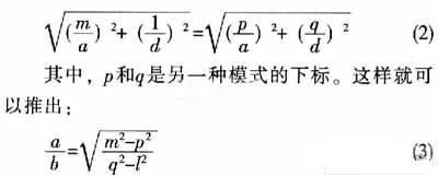
對于具有相同諧振頻率的兩個模式來說,則有如下關系:

根據選定的工作簡并模式,利用公式(1)、(2)、 (3)來確定矩形波導諧振腔的初始尺寸,然后再結合有關文獻,就可以確定SIW腔體的尺寸。圖3所示是其金屬矩形諧振腔的基本結構。
雙膜SIW諧振腔及其頻率調節
圓柱形波導、矩形波導和微帶線都可以用來做雙膜濾波器。然而,一些典型的雙膜設計方法(如加調節螺釘、內角加工、在微帶貼片上加入十字槽等)并不適用于 SIW腔體。有文獻提到采用切角、打孔、饋電擾動等擾動方式來應用于SIW腔體。故此,本文選取了在SIW腔體對稱的角上切兩個相同的方形切角作為微擾方 式。
擾動腔體的諧振頻率被分成f1和f2兩個高低不同的頻率,這兩個頻率的平均值(f1+f2)/2和原有腔體的諧振頻率f0往往不相等。類似地,輸入/ 輸出部分的耦合也會造成諧振頻率的平移。這樣就會造成兩種情況:一是(f1+f2)/2>f0;二是(f1+f2)/2< P>
是大于還是小于取決于耦合結構。對于第一種情況,可以通過加大諧振腔尺寸來調節頻率移動;而對于第二種情況,則可以通過減小諧振器尺寸或者在諧振腔上開 個縫來減少諧振腔等效尺寸等方法來調節。當然也可以不調節,分別針對這兩種情況加以利用。
在實際的工程應用中。要求 s<λ/20,當SIW工作在高頻段時,為了滿足上述條件,往往要求金屬柱半徑以及它們之間的間距很小,以至于加工非常困難。而此時就可以利用第一 種情況,以較大的尺寸在較高頻率處實現良好的濾波性能,降低加工難度;而對于第二種情況,可以以更小的尺寸在較低的諧振頻率處實現良好的濾波性能,從而實 現濾波器的小型化。本文就是有效地利用了第二種情況,從而設計出性能好、尺寸小的濾波器。
[page]
2 雙膜濾波器的實現與仿真
圖4所示是雙膜SIW腔體帶通濾波器的結構示意 圖。在諧振腔的對角線上挖去兩個相同的立方體,輸入/輸出采用直接過渡的轉換結構。濾波器選用 Rogers RO3010作為介質基板,其相對介電常數εr=10.2,損耗角正切tan d為0.0035;諧振腔長度a為21.5 mm,寬b為21.5 mm,高h為0.5mm;切去的立方體邊長cw為2.2 mm;中心饋線的寬度tw為0.72 mm。輸入/輸出采用無縫耦合的直接轉換結構,這樣可減少輸入/輸出結構的耦合損耗。

3 仿真結果分析
仿真可采用電磁仿真商業軟件HFSS來完成。通過仿真介質諧振腔濾波器(濾波器源型)可以發現,不同的耦合輸入/輸出窗口寬度影響著濾波器中心頻率的位 置,同時也影響耦合強度和帶內插入損耗。從圖5中看出,隨著耦合窗寬度的增大,濾波器的中心頻率會上移,耦合減弱,帶內插入損耗變大,也就是濾波器的匹配性能變差。

針對切去的立方體尺寸對濾波器性能的影響。從方便的角度考慮,應先保證一個角上的正方體尺寸不變,而改變另一個切去的立方體尺寸,然后觀察微擾變化對S 參數的影響。從圖6所示的曲線可以看出,微擾尺寸幾乎不改變S參數曲線的形狀,對中心頻點的影響不大,微擾越大,帶寬越寬,相應的高阻帶傳輸零點會往高頻點移動。

從以上結果可以看出,通過改變微擾大小可調節濾波器的帶寬,而改變耦合輸入/輸出窗口的寬度則可調節濾波器的中心頻率和匹配性能。 綜合以上仿真研究并結合公式(1)、(2),可先計算出SIW的相關尺寸。然后通過HFSS仿真對濾波器性能進行優化,最終所得出的設計電路具體尺寸為 h=O.5 mm,εr=10.2,tan d="0".0035,a=b=21.5 mm,d=0.8 mm,s=1.2 mm,cw=2.2 mm,tw=0.72 mm,cw=8.4 mm,ba=2 mm。

圖7所示是本設計的雙膜SIW腔體濾波器S參數的響應曲線。從圖7中可以看出,采用本設計實現的濾波器的中心頻率fo=4.95 GHz,3 dB相對帶寬FBW=4.36%,通帶內插入損耗為0.9 dB,反射損耗S11小于-22 dB,阻帶右側5.45 GHz處會形成一個傳輸零點,損耗接近-40 dB。
4 結束語
可以看出,通過應用SIW技術可以設計出具有良好性能的雙膜窄帶帶通濾波器。其原理簡單、尺寸小、重量輕、帶內插損小、阻帶衰減性能好;并且采用直接過渡的轉換結構,從而減少了耦合輸入/輸出損耗。相信會在許多地方有非常廣闊的前景。
相關閱讀:
TDK推出帶EMI濾波器功能BGA壓敏電阻器
TDK TCE1210:TDK開發出薄膜共模濾波器新品
怎樣選擇EMI濾波器





