【導讀】功率MOSFET在構造上,如圖1存在寄生容量 MOSFET的G (柵極) 端子和其他的電極間由氧化膜絕緣,DS (漏極、源極) 間形成PN接合,成為內置二極管構造。Cgs, Cgd容量根據氧化膜的靜電容量、Cds根據內置二極管的接合容量決定。
關于MOSFET的寄生容量和溫度特性
MOSFET的靜電容量
功率MOSFET在構造上,如圖1存在寄生容量。
功率MOSFET在構造上,如圖1存在寄生容量 MOSFET的G (柵極) 端子和其他的電極間由氧化膜絕緣,DS (漏極、源極) 間形成PN接合,成為內置二極管構造。Cgs, Cgd容量根據氧化膜的靜電容量、Cds根據內置二極管的接合容量決定。
圖1: MOSFET的容量模型

一般而言MOSFET規格書上記載的是表1中的Ciss/Coss/Crss三類。
表1 MOSFET的容量特性

容量特性如圖2所示,對DS (漏極、源極) 間電壓VDS存在依賴性。VDS大則容量值小。
圖2: 容量 - VDS 依存性

溫度特性
實測例見圖(1) ~ (3)所示
關于容量特性的溫度依存性幾乎沒有差異。
圖3: 容量溫度特性

關于MOSFET的開關及其溫度特性
關于MOSFET的開關時間
柵極電壓ON/OFF之后,MOSFET才ON/OFF。這個延遲時間為開關時間。開關時間如表1所示種類,一般而言,規格書上記載td(on)/ tr/ td(off)/ tf。
ROHM根據圖2電路的測定值決定規格書的typ.值。
表1: MOSFET的SW特性


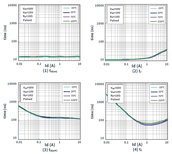
溫度特性
實測例如圖3(1)~(4)所示。
溫度上升的同時開關時間略微增加,但是100°C上升時增加10%成左右,幾乎沒有開關特性的溫度依存性。
圖3: 開關溫度特性

關于MOSFET的VGS(th)(界限値)
關于MOSFET的VGS(th)
MOSFET開啟時,GS (柵極、源極) 間需要的電壓稱為VGS(th)(界限值)。
即輸入界限值以上的電壓時MOSFET為開啟狀態。
那么MOSFET在開啟狀態時能通過多少A電流?針對每個元件,在規格書的電氣特性欄里分別有記載。
表1為規格書的電氣特性欄示例。該情況下,輸入VDS=10V時,使1mA電流通過ID所需的柵極界限值電壓ID(th)為1.0V to 2.5V。
表1: 規格書的電氣特性欄

ID-VGS特性和溫度特性
ID-VGS特性和界限值溫度特性的實測例如圖1、2所示。
如圖1,為了通過絕大部分電流,需要比較大的柵極電壓。
表1所記載的機型,其規格書上的界限值為2.5V以下,但是為4V驅動產品。
使用時請輸入使其充分開啟的柵極電壓。
如圖2,界限值隨溫度而下降。
通過觀察界限值電壓變化,能夠計算元件的通道溫度。

圖1: ID-VGS特性
圖2: 界限值溫度特性
免責聲明:本文為轉載文章,轉載此文目的在于傳遞更多信息,版權歸原作者所有。本文所用視頻、圖片、文字如涉及作品版權問題,請聯系小編進行處理。
推薦閱讀:






