【導讀】熱拔插系統必須使用電源緩啟動設計,熱拔插系統在單板插入瞬間,單板上的電容開始充電。因為電容兩端的電壓不能突變,會導致整個系統的電壓瞬間跌落。同時因為電源阻抗很低,充電電流會非常大,快速的充電會對系統中的電容產生沖擊,易導致鉭電容失效。
熱拔插系統必須使用電源緩啟動設計,熱拔插系統在單板插入瞬間,單板上的電容開始充電。因為電容兩端的電壓不能突變,會導致整個系統的電壓瞬間跌落。同時因為電源阻抗很低,充電電流會非常大,快速的充電會對系統中的電容產生沖擊,易導致鉭電容失效。
如果系統中采用保險絲進行過流保護, 瞬態電流有可能導致保險絲熔斷, 而選擇大電流的保險絲會使得在系統電流異常時可能不熔斷,起不到保護作用。所以,在熱拔插系統中電源必須采用緩啟動設計,限制啟動電流,避免瞬態電流過大對系統工作和器件可靠性產生影響。
1、LDO
在壓差較大或者電流較大的降壓電源設計中,建議采用開關電源,避免使用 LDO 采用線性電源(包括 LDO)可以得到較低的噪聲,而且因為使用簡單,成本低,所以在單板上應用較多。FPGA 內核電源、某些電路板上射頻時鐘部分的電源等都使用線性電源從更高電壓的電源上調整得到。線性電源的基本原理如圖所示。
輸出電壓經過采樣后和參考電源(由晶體管帶隙參考源或者齊納二極管提供)進行減法運算,差值經過放大后控制推動管上的電壓降 V dropout =V output -V input , 使得當 V input 變化或者負載電流變化導致 V output 變化時,通過 V dropout 的變化保證 V output 的穩定。
由圖中可見,負載電流全部流過調整管,而輸入電壓和輸出電壓之間的差異全部都加在調整管上。調整管上耗散的功率為 V dropout *I。當電壓差較大時,或者負載電流較大時,穩壓器將承受較大的功率耗散。
LDO 必須計算熱耗并滿足降額規范另外,輸入的電源提供的功率為 V input *I,即采用線性電源時電源功率的計算不能使用負載電壓和電流的乘積計算,必須采用線性電源輸入電壓和負載電流的乘積計算采用線性電源時電源功率的計算不能使用負載電壓和電流的乘積計算,必須采用線性電源輸入電壓和負載電流的乘積計算。必須經過計算和熱仿真確保系統的正常工作。
例如采用 1 只 TO-263 封裝的 LDO 將電壓從 3.3V 降到 1.2V,負載電流為 1.5A,負載上耗散的功率為 1.8W。此時 LDO 上承擔了 2.1V 壓降,耗散的功率 3.15W,3.3V 電源提供的功率為 4.95W!封裝的熱阻約為 40℃/W,則如果不采取任何散熱措施,則溫升能夠達到約 120℃。對 LDO 必須通過熱仿真確定合適的散熱措施,并且在 3.3V 電源在預算中必須能夠提供 1.5A 的電流(或者 5W 以上的功率) ,保證系統的工作正常。采用開關電源能夠達到很高的效率,對大電流及大壓差的場合,推薦采用開關電源進行轉換。如果電路對紋波要求較高, 可以采用開關電源和線性電源串聯使用的方法, 采用線性電源對開關電源的噪聲進行抑制。
2、LDO 輸出端濾波電容選取時注意參照手冊要求的最小電容、電容的 ESR/ESL 等要求確保電路穩定。推薦采用多個等值電容并聯的方式,增加可靠性以及提高性能 DO 輸出電容為負載的變化提供瞬態電流,同時因為輸出電容處于電壓反饋調節回路之中,在部分 LDO 中,對該電容容量有要求以確保調節環路穩定。該電容容量不滿足要求,LDO 可能發生振蕩導致輸出電壓存在較大紋波。多個電容并聯,以及對大容量電解電容并聯小容量的陶瓷電容,有利于減少 ESR 和 ESL,提高電路的高頻性能,但是對于某些線性穩壓電源,輸出端電容的 ESR 太低,也可能會誘發環路穩定裕量下降甚至環路不穩定。
3、濾波電容
(1) 電源濾波可采用 RC 、LC 、π 型濾波。電源濾波建議優選磁珠,然后才是電感。同時電阻、電感和磁珠必須考慮其電阻產生的壓降對電源要求較高的場合以及需要將噪聲隔離在局部區域的場合, 可以采用無源濾波電路。在采用無源濾波電路時,推薦采用磁珠進行濾波。磁珠和電感的主要區別是,電感的 Q 值較高,而磁珠在高頻情況下呈阻性,不易發生諧振等現象。
電感加工精度較高,而磁珠加工精度相對較低,成本也較便宜。在選擇濾波器件時,優選磁珠。選擇電阻和電容構成無諧振的一階 RC 低通濾波器,但是該電路只能應用于電流很小的情況。負載電流將在電阻上形成壓降,導致負載電壓跌落。無論是采用何種濾波器,都需要考慮負載電流在電感、磁珠或者電阻上的壓降,確認濾波后的電壓能夠滿足后級電路工作的要求。
例如在某單板鎖相環路設計中采用了一階 RC 濾波器,濾波電阻選擇 12 歐姆。鎖相環中 VCXO 的工作電流約為 30mA,在濾波電阻上產生 300mV 的壓降,額定電壓 3.3V 的 VCXO 實際工作電壓只有不到 3V,易發生停振等現象。在某光口子卡上,發生過某型號光模塊當光纖插上時 SD(光檢測)信號上升緩慢,不能正確反映實際情況的問題。
經過檢查發現濾波電感的直流電阻約為 3 歐姆, 光模塊工作電流約為 100mA, 電感上的壓降導致光模塊的工作電壓只有約 2.9V 左右,在該型號光模塊上會出現 SD 上升緩慢的故障。另外,對于濾波電路,應保證電感、磁珠或者電阻后的電容網絡能夠保證關心的所有頻率下,都能夠保證低阻抗。必要時應采用多種容量的電容并聯,并局部鋪銅的方式達到目標阻抗。(參見時鐘驅動芯片濾波電路設計部分)。在某單板上,采用了磁珠和 0.1u 電容為時鐘驅動芯片提供濾波。經過測試,時鐘驅動芯片管腳上的紋波高達 1V 以上。采用多電容并聯的方式可以有效地為時鐘芯片提供去耦。
(2)大容量電容應并聯小容量陶瓷貼片電容使用
大容量電容一般為電解電容,其體積較大,引腳較長,經常為卷繞式結構(鉭電容為燒結的碳粉和二氧化錳) 。這些電容的等效串聯電感較大,導致這些電容的高頻特性較差,諧振頻率大約在幾百 KHz 到幾 MHz 之間(參見 Sanyo 公司 OSCON 器件手冊和 AVX 公司鉭電容器件手冊) 。
小容量的陶瓷貼片電容具有低的 ESL 和良好的頻率特性,其諧振點一般能夠到達數十至數百 MHz(參見參考文獻《High-speed Digital Design》以及 AVX 等公司陶瓷電容器件手冊) ,可以用于給高頻信號提供低阻抗的回流路徑,濾除信號上的高頻干擾成分。因此,在應用大容量電容(電解電容)時,應在電容上并聯小容量瓷片電容使用。
(3)輸入電容
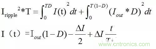
計算輸入電容的紋波電流,這個推導的過程,利用到積分公式。通過分析和推導,可以對電路的工作原理有比較透徹的理解。如果考慮輸出紋波電流。那么電容上的紋波電流的波形為:

由于在上管打開的階段,輸入電流的大小即可近似的看成輸出電流的大小。所以只需要將輸出電流的波形疊加在輸入電容的波形上面,可以得到上圖中的波形。
那么按照有效電流定義,我們可以通過對電流平方在時間上的計算

為了簡便計算,我們將能量拆成紋波部分,和直流部分。原先的直流部分,我們直接用乘法進行計算。直流部分,我們按照近似計算的方法可以得到。交流部分的功耗,我們按照公式計算可以得到:

所以總的電容上的有效電流為:
如果選用 220uF 的電容,每個能承受的有效電流為 3.8A。。如果我們計算出來輸入電容的有效電流值為 7A,則需要選用 220uF 電容 2 個。高分子電解電容能夠承受的有效電流值是有限的。在設計時需要充分考慮電容的承受能力。
4、升壓電路
升壓電源(BOOST)使用必須增加一個保險管以防止負載短路時,電源直通而導致整個單板工作掉電。保險的大小由模塊的最大輸出電流或者負載最大電流而定升壓電源(Boost)的基本拓撲如下圖所示:

當 Q1 導通時兩端電阻很小, 電源電壓加在 L 兩端,電能轉化為磁場存儲在 L 中,此時 D1 截止,避免 C0 上的電壓向 Q1 流動。當 Q1 關斷時,L 中的電流不能突變,電源和 L 一起通過 D1 向 C0 充電并向負載供電,得到一個高于輸入電壓的輸出電壓。由圖中拓撲可以看出,我們不能通過控制 Q1 的通斷來切斷輸入和輸出之間的通路或者控制輸出電流。當輸出電源短路時,輸入電源(一般是單板主電源)通過 L 和 D1 直接短路到地。導致的結果將是 L 或者 D1 燒毀且失效模式為開路。在 L 或者 D1 燒毀之前,單板電源處于短路狀態,如果 L 和 D1 電流降額較大,可能導致單板電源保護而不能上電。為了避免上述問題, 建議為升壓電源添加一個保險管防止負載短路, 保險的大小依照模塊的最大輸出電流或者負載的最大電流而定。
5、防反接
電源要有防反接處理,輸入電流超過 3A 于 ,輸入電源反接只允許損壞保險絲;低于或等于 3A,輸入電源反接不允許損壞任何器件電源要有防反接處理,輸入電流超過 3A,輸入電源反接只允許損壞保險絲;低于或等于 3A,輸入電源反接不允許損壞任何器件。回路電流較大時,直流電源反接處理可以按照以下方法處理。原理圖如下所示:

直流電源正常接入時, 光耦 D1 由于輸入二極管反偏置, 所以輸出 C-E 不能導通, 這時并聯的 NMOS 管將由于 G-S 電壓的穩壓至 12V,使 D-S 導通。這樣電源回路將能順利形成。電容 C1 是起到緩啟動作用的,這樣可以起到防浪涌的目地。電阻 R6、二極管 VD3 構成電容 C1 的放電回路。當電源反接的時候,由于光耦輸入二極管正偏置,輸出 C-E 導通,使并聯的 NMOS 管截止。這樣回路就切斷了,起到了防反接保護的作用。由于并聯 NMOS 管的 R DS 比較小,損耗小,比較適合于低壓大電流的場合。回路電流較小時,可以直接在輸入回路中串聯二極管。反接時,由于二極管的單向導電性,電源被阻斷。
6、電感
禁用磁飽和電路;禁止選用采用磁飽和電路的電源模塊禁用磁飽和電路,因為:a、磁飽和電路因為所用磁環的原因對溫度比較敏感,易在高溫工作時不穩定。b、動態負載能力差,在磁飽和路負載最小時工作最惡劣,易形成輸出不穩定。
7、上電時序
1. 對于多工作電源的器件,必須滿足其電源上掉電順序要求
對于有核電壓、IO 電壓等多種電源的器件,必須滿足其上電和掉電順序的要求。這些條件不滿足,很有可能導致器件不能夠正常工作,甚至觸發閂鎖導致器件燒毀。例如 TMS320C6414T 型 DSP,2005 年 5 月之后的 Errata 中說明,當 DVDD 較 CVDD 早上電時,可能出現 PCI/HPI 數據錯的問題。對于 QDR、DDR 內存,其上電順序也有要求,否則可能導致閂鎖,造成器件燒毀的后果。當有多個電源時, 如必要可采用專用的上電順序控制器件確保上電順序。設計中應保證在器件未加載燒結文件時,電源處于關斷狀態設計中應保證在器件未加載燒結文件時,電源處于關斷狀態。也可以通過在不同的電源之間連接肖特基二極管確保上電掉電過程中不會違反上掉電順序要求。

因為電源模塊、 電源上的電容都會對電源上電順序產生影響, 可能出現上電過程中違反電壓要求的情況,如上右圖所示,所以必須進行測試驗證。
2、 多個芯片配合工作,必須在最慢上電器件初始化完成后開始操作當多個芯片配合工作時, 必須在最慢的期間完成初始化后才能開始操作, 否則可能造成不可預料的結果。
例如 LVT16244 驅動器具有上電 3 態功能,即使 OE 端被下拉到地,也需要等到電源電壓上升到一定閾值才會脫離高阻態, 而此前 EPLD 等器件可能已經開始工作, 這樣就可能導致 EPLD 讀到錯誤的狀態。參見前面的說明。對于某些 ROM 等器件,在上電后一段時間才能開始工作,如果在此之前就開始讀取,也可能導致數據錯誤。
8、PCB 設計
1、 電源模快 / 芯片感應端在布局時應采用開爾文方式很多電源模塊和電源芯片在設計時,采用了獨立的 Sense 管腳,作為對輸出電壓的反饋輸入。這個 Sense 信號應該從取用電源的位置引給電源模塊,而不應該在電源模塊輸出端直接引給電源模塊,這樣可以通過電源模塊內部的反饋補償掉從電源模塊輸出傳輸到實際使用電源處路徑帶來的衰減。如下圖中白色走線所示。

對于電源監控電路等,也應該遵守相同的原理,即從實際需要監控點將電源引給監控電路,而不是從監控電路最近處引給監控電路,以確保精確性。
2、Buck 電源 PCB 設計要點
1、輸入電容,輸出電容盡量共地;
2、輸出電流過孔數量保證通流能力足夠,電流為設定的過流值;
3、如果輸出電流大于 20A,最好區分控制電路 AGND 和功率地 GND,兩者單點接地,如果不做區分,保證 AGND 接地良好;
4、輸入電容靠近上管的 D 極放置;
5、Phase 管腳因為其強電流,高電壓的特性,輻射大,需做以下處理
a:Phase 相連接的上管的 S 極,下管的 D 極和電感一端打平面處理,且不打過孔,即盡量保證 3 者和電源芯片在同一個平面上,且最好放置在 top 面;
b:Phase 平面保證足夠的通流能力的前提下,盡量減小面積;
c:關鍵信號遠離該 Phase 平面;
d:小電流的 Phase 網絡直接拉線處理,禁止拉平面;
6、輸入電容的 GND,電源輸入因為噪聲大,敏感信號需遠離該平面,遵循 3W 原則,禁止高速信號在上述地平面打的過孔中間走線,尤其關注背板的高速信號;
7、GATE,BOOT 電容走線盡量粗,一般為 15mil~40mil;
8、電壓采樣因為電流小,容易受干擾,如果為近端反饋盡量靠近電源芯片,如果為遠端反饋,需走差分線,且遠離干擾源;
9、DCR 電流采樣網絡,需要差分走線,整個采樣網絡盡量緊湊,且需靠近電源芯片放置,溫度補償電阻靠近電感放置;
10、環路補償電路盡量面積小,減小環路,靠近電源芯片放置;
11、電感下禁止打孔,一方面防止有些電感為金屬表層,出現短路;一方面因為電感的輻射大,如果下面打孔,噪聲會耦合;
12、MOS 管下需打過孔進行散熱,過孔數量按照輸出最大電流計算,非過流值;
13、電源芯片底部打過孔到背面進行散熱處理,覆銅越大散熱越好,最好部分亮銅處理。




