針對ZCP0030-50電流探頭進行了全方位性能參數驗證, 主要測試參數包括直流精度、上升時間、方波響應、噪聲、以及開關電源開關管電流波形實測。為了讓實測結果更加直觀,我們選擇T公司的TCP312電流探頭作為實測對比,并且在所有測試配有圖片和測試結果,保證測試過程可追溯。
一、直流精度驗證
ZCP0030-50標稱直流精度為1%rdg±1mV,實測精度如表1所示。
1、測試條件
精度測試所使用試儀器為FLUKE5720校準器、六位半萬用表DMM6000。測試步驟,校準器FLUKE5720輸出不同的被測電流值,萬用表讀取電流探頭的響應電壓值。

圖 2.1 直流精度測試環境
2、精度數據
表 2.1 直流精度測試數據
3、驗證結論
上表格的數據顯示,ZCP0030-50在量程范圍內的直流精度在1%rdg±1mV以內。
二、上升時間驗證
ZCP0030-50的帶寬是50MHz,對應上升時間≤7ns。探頭上升時間是指測試脈沖時,測量系統響應波形從穩態值的10%上升到90%所需要的時間,是一個很關鍵的參數,上升時間越快,說明探頭的響應越快,能測到更加快速變化的電流波形,還原電流波形的性能越好。
1、測試條件
測試電流探頭的上升時間使用的測試儀器是信號發生器Keysight33600和示波器ZDS2022。信號發生器產生上升時間為5ns的方波,示波器顯示經過電流探頭后的上升波形和時間。
2、波形數據

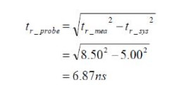
圖 3.1 ZCP0030-50的上升時間
如圖3.1所示,根據示波器測量到的上升時間為8.5ns,這個總時間是信號發生器自身的上升時間加上探頭的上升時間,所以實際上探頭的上升時間還需要將總時間減去信號發生器自身的上升時間,具體的計算公式如下。

3、驗證結論
實測結果在理論計算范圍內,上升時間正常,實測帶寬在50MHz以上。
三、方波響應驗證
方波響應主要是用來簡易測試電流探頭幅頻響應特性的測試方法。電流探頭能夠完整的重現方波波形,不出現畸變,說明探頭的幅頻響應平坦,是良好的。
1、測試條件
測試電流探頭的方波響應時,使用的測試儀器是信號發生器Keysight33600和示波器ZDS2022。信號發生器產生電流峰峰值為100mA,頻率分別1KHz、100KHz、1MHz為的方波,示波器顯示相對應的方波波形。
2、波形數據
如圖3所示,在測試1KHz的電流方波時,探頭的方波響應是很好的,波形基本上沒有畸變,波形比較平坦,沒有發生傾斜等。

圖3 1KHz電流方波響應
如圖4所示,在測試100KHz的電流方波時,探頭的方波響應是很好的,波形基本上沒有畸變,波形比較平坦,沒有發生傾斜等。

圖 4 100KHz電流方波響應
如3所示,在測試1MHz的電流方波時,探頭的整體方波響應的波形基本上沒有畸變,波形比較平坦,沒有發生傾斜等。

圖5 100KHz電流方波響應
如圖5所示,在測試1MHz的電流方波時,探頭的整體方波響應的波形基本上沒有畸變,波形比較平坦,沒有發生傾斜等。
3、驗證結論
實測結果在理論計算范圍內,幅頻響應平坦。
四、噪聲評測
噪聲是電流探頭的重要參數,噪聲的大小直接影響到探頭的分辨率,噪聲越小,分辨率越高。
1、測試條件
噪聲測試主要是使用示波器ZDS2022來觀察測試,并記錄相應的測試值。
2、精度數據
如圖6所示,測試出來的電流探頭的實際噪聲的峰峰值小于10mA,交流有效值小于1mArms。
圖6 噪聲測試
3、驗證結論
實測結果在理論計算范圍內,噪聲控制良好。
推薦閱讀:
Maxim串行器和解串器技術滿足未來ADAS和信息娛樂系統要求



