【導讀】在【電源設計小貼士11】中,我們討論了如何利用泰勒級數 (Taylor series) 查找電源中的損耗源。在本篇電源設計小貼士中,我們將討論如何使用相同的級數最大化特定負載電流的電源效率。
在【電源設計小貼士11】中,我們建議使用如下輸出電流函數來計算電源損耗:
下一步是利用上述簡單表達式,并將其放入效率方程式中:
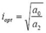
這樣,輸出電流的效率就得到了優化(具體論證工作留給學生去完成)。這種優化可產生一個有趣的結果。
當輸出電流等于如下表達式時,效率將會最大化。

需要注意的第一件事是,a1項對效率達到最大時的電流不產生影響。這是由于它與損耗相關,而上述損耗又與諸如二極管結點的輸出電流成比例關系。因此,當輸出電流增加時,上述損耗和輸出功率也會隨之增加,并且對效率沒有影響。需要注意的第二件事是,最佳效率出現在固定損耗和傳導損耗相等的某個點上。這就是說,只要控制設置a0和a2值的組件,便能夠獲得最佳效率。還是要努力減小a1的值,并提高效率。控制該項所得結果對所有負載電流而言均相同,因此如其他項一樣沒有出現最佳效率。a1項的目標是在控制成本的同時達到最小化。
表1概括總結了各種電源損耗項及其相關損耗系數,該表提供了一些最佳化電源效率方面的折中方法。例如,功率MOSFET導通電阻的選擇會影響其柵極驅動要求及Coss損耗和潛在的緩沖器損耗。低導通電阻意味著,柵極驅動、Coss 和緩沖器損耗逆向增加。因此,您可通過選擇MOSFET來控制a0和a2。
壓;它們還包含兩組低壓差線性穩壓器(LDO),負責提供電源給鎖相回路 (PLL) 和SRAM或處理器的其它功能模塊。這些器件還有許多功能未列在表中,例如后備電池支持、I2C界面和重置功能。
表1 損耗系數及相應的電源損耗

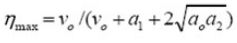
代數式下一位將最佳電流代回到效率方程式中,解得最大效率為:
需要最小化該表達式中的最后兩項,以最佳化效率。a1項很簡單,只需對其最小化即可。末尾項能夠實現部分優化。如果假設MOSFET的Coss和柵極驅動功率與其面積相關,同時其導通電阻與面積成反比,則可以為它選擇最佳面積(和電阻)。圖1顯示了裸片面積的優化結果。裸片面積較小時,MOSFET的導通電阻變為效率限制器。隨著裸片面積增加,驅動和Coss損耗也隨之增加,并且在某一點上變為主要損耗組件。這種最小值相對寬泛,從而讓設計人員可以靈活控制已實現低損耗的MOSFET成本。當驅動損耗等于傳導損耗時達到最低損耗。

圖1 調節MOSFET裸片面積來最小化滿負載功率損耗
圖2是圍繞圖1最佳點的三種可能設計效率圖。圖中分別顯示了三種設計的正常裸片面積。輕負載情況下,較大面積裸片的效率會受不斷增加的驅動損耗影響,而在重負載條件下小尺寸器件因高傳導損耗而變得不堪重負。這些曲線代表裸片面積和成本的三比一變化,注意這一點非常重要。正常芯片面積設計的效率只比滿功率大面積設計的效率稍低一點,而在輕載條件下(設計常常運行在這種負載條件下)則更高。

圖2 效率峰值出現在滿額定電流之前



