中心論題:
- AVP控制有源法的分析
- AVP控制無源法的實現
- 實驗結果分析
解決方案:
- AVP控制有源法
- AVP控制無源法
CPU和DSP對數據處理速度和容量的要求不斷提高,對電源模塊的供電要求也就相應地提高了,主要體現在電源的輸出電流大小及其變化率和輸出電壓峰-峰值上。采取的措施有多通道buck電路拓撲和良好的控制方法,如V2控制法和滯回控制法等,這樣可以改善電源的穩態和動態性能,提高電源效率。但是對于更低的輸出電壓,更大的電流動態變化率,不可避免地要采用更大容量,更低ESR的電容以減少瞬態電壓峰-峰值。而大容量、低ESR電容增加了模塊的成本,占用更大的空間,不利于提高功率密度。基于以上種種問題,采用AVP方法(如圖1所示)使電源在滿載時電壓比所要求的最低電壓高,在空載或輕載時輸出電壓比所要求的最高電壓低,這樣不僅有利于電源模塊的熱設計,而且動態過程電壓工作在窗口電壓內,輸出電壓峰-峰值小,恢復時間短。但是文獻提出的方法較為復雜,使用專用的控制芯片導致開發成本增加,文獻提出的方法在實際應用中電路效率較低。本文對AVP控制方法進行深入分析,歸納總結出各種AVP的實現方法,并提出了一種新穎高效的控制方法,用實驗證明AVP方法的優越性。

AVP控制有源法的分析
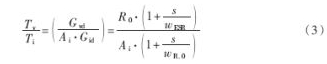
AVP有源控制為雙環控制,其基本原理如圖2所示。通過檢測電感電流,根據降壓要求相應調節輸出電壓的基準。輸出電壓跟隨基準電壓而實現AVP控制。圖3為AVP有源控制的方塊圖,假設電流環增益為Ti,電壓環增益為Tv,則:



由(2)/(1)可得:


此處Rc為輸出電容Co的等效電阻值,Ro為輸出負載。當w>>wESR且Ai=Rc時,則(3)式值為1。這說明了在此情況下電流環、電壓環有相同的截止頻率,而Av的設計對電流環、電壓環的比值沒有影響,其零極點的設計則依據電流環的設計方法進行。

其中,
,L為等效輸出電感,fs為開關頻率,wz用于補償功率雙極點,wp用于消除開關噪聲,wi保證電流環的截止頻率高于輸出電容引入的ESR零點頻率。基于以上原則,設計固定輸出阻抗值為輸出電容的ESR值。實現方法分別為檢測開關管導通電阻、續流管導通電阻或串聯阻值小的檢測電阻。前兩種方法受溫度的影響不宜采用,而串聯阻值小的檢測電阻有助于改善溫度變化引起的精度變化,但是在主電路中串聯電阻必然引起電源模塊效率的下降。
AVP控制無源法的實現
采用無源法增加檢測電阻,如圖4所示。通過檢測Va使之等于VREF,實現vo=Vref-io×Rs,使電源在滿載時電壓比所要求的最低電壓高,在空載或輕載時輸出電壓比所要求的最高電壓低。從而使得輸出電壓在負載動態跳變時能夠較快地達到穩定,提高動態響應,以改善電壓大電流所引起的動態響應與電路成本的矛盾關系。

實驗結果分析
本文通過檢測輸出電感電阻的阻值,對其進行適當的處理,有效地實現AVP控制(如圖5所示),避免了在電感與輸出端增加電阻所引起的效率下降問題。圖5(b)和圖6為采用AVP控制方法和不采用AVP控制方法兩種情況下的實測動態波形。輸出電流由空載到半載(0→7.5A)時測得輸出電壓峰-峰值為97mV,而不采用AVP控制方法時輸出電壓峰-峰值為318mV。而且圖5(b)的動態恢復時間明顯比圖6的恢復時間短。可見,采取AVP控制有著良好的動態響應,進而可減小輸出電容及降低成本。


隨著VRM的深入發展,為滿足低電壓、大電流的需要,相繼提出了各種電路拓撲,如帶抽頭電感的BUCK電路、有源鉗位的BUCK電路、耦合繞組的BUCK電路、移相軟開關BUCK電路等;并有優良的控制方法問世,如V2控制、滯回控制等。以上的這些方法都甚是難以滿足電源模塊的發展需要。AVP的控制方法在適當降低負載調整率的情況下有效地改善了模塊的動態響應,在低電壓、大電流的應用場合中被人們重新認識。本文對其從理論方法進行分析,并采用新的檢測方法通過實驗證明了AVP良好的動態調節能力。




