【導讀】近年來,活躍跟蹤器和其它可穿戴電子設備越來越受歡迎,因為用戶希望實時監控、測量和跟蹤與其健康相關的各種實時指標,包括步數、心率、心率變異指數(HRV)、用戶體溫、活動水平和/或壓力水平等。現有一種已知的壓力水平測定技術涉及監控、測量和/或跟蹤皮膚電活動(EDA),是通過測量皮膚阻抗或皮膚電導率來實現的。
研究顯示,為響應環境、心理和/或生理反應,皮膚電導率會上升。通過測量皮膚阻抗或皮膚電導率在時間上的變化,可以獲得與用戶活動水平、壓力水平、疼痛水平和/或與用戶當前心理和/或生理狀況相關的其他因素,使用戶或醫師能根據取得的指標采取適當的措施,處理出現的狀況。
本文的最終目的是提供一個有用的實體系統,用于研究并最終評估/量化人的壓力水平。
簡介
壓力是導致身體或精神緊張的生理、心理或情緒因素。壓力分為外部壓力(環境壓力、心理壓力或社會因素所致壓力)和內部壓力(疾病或醫療程序導致的壓力)。壓力可能引發“戰或逃”的反應,后者是神經系統和內分泌系統的一種復雜反應。
“戰或逃”反應(在創傷后壓力癥中也稱為戰斗、逃跑、僵死或服從反應,反應過度,或急性應激反應)是對感知到的有害事件、攻擊或生存威脅作出的一種生理反應。
該反應始于杏仁核,結果在下丘腦中觸發神經反應。初始反應后,腦下垂體被激活并分泌促腎上腺皮質激素。腎上腺被同時激活并釋放腎上腺激素。
釋放化學信使后會產生皮質醇激素,導致血壓和血糖升高,對免疫系統形成抑制作用。觸發初始反應和后續反應是為了增加能量。腎上腺素與肝細胞結合后產生血糖,實現能量的提升。另外,皮質醇循環是為了把脂肪酸轉換成可用的能量,結果促使人體肌肉做好反應準備。兒茶酚胺類激素(如腎上腺素或去甲腎上腺素)會促進即時身體反應,為激烈的肌肉反應做好準備。
然而,在持續需求下,壓力系統長期處于活躍狀態,可能損害人體健康。
壓力會導致多種疾病,對人的身心造成影響。1 我們會在本文后面部分討論這些。
方法
有不同的方法可以用來檢測和確定壓力水平。最重要的方法是:測量皮質醇水平,取得心率變異指數,或者獲得皮膚電活動數據。
測量皮質醇水平
皮質醇是糖皮質類激素中的一種甾類激素,是人體腎上腺中的腎上腺皮質產生的。人體釋放皮質醇是對壓力的回應。因此,測量皮質醇水平被認為是量化壓力水平的黃金標準方法。2 然而,該技術存在兩個重要問題。第一個問題是從威脅出現到皮質醇水平發生變化這一過程的延遲問題,延遲可能長達15分鐘。第二個也是最重要的問題是要檢測用戶日常生活中的威脅和壓力狀況,就需要持續取得壓力水平數據。因此,無論對誰來說,這種方法都太復雜、太昂貴、太不友好;可見,皮質醇測量并不適合普通用途。
獲取HRV
HRV是兩次心跳間時間間隔發生變化的這種生理現象。其測定標準是心跳間時間間隔的變化。3
目前,市場上有多種設備都能測量心率。這些設備的分辨率最高為每分鐘一次(心跳/分鐘)。該分辨率足以滿足多種應用的需求。然而,針對壓力評估的HRV分辨率要高10或100倍。這意味著采樣頻率和算法復雜程度一定非常高,所以,系統功耗也是個大問題,無法滿足可穿戴式產品或24/7全天候應用的需求。
獲取EDA
EDA是衡量汗腺滲透率神經介導性效應的一項間接指標,為小電流下皮膚電阻的變化或者皮膚不同部分的電位差。4
EDA在功耗、人體工程設計和電路尺寸方面比其他技術更有優勢。
系統描述
本研究旨在開發一種用于研究和估測人的壓力水平的有用工具。人的壓力水平不是恒定不變的,而是取決于人感知到的威脅。每個人對這些威脅的感知是不同的,有許多因素會使一個人眼中的簡單事件變成另一個人眼中的巨大威脅。在醫院里進行壓力測試以確定人的壓力水平是沒用的,因為這些威脅出現在患者的正常生活當中。可見,有必要開發一種系統,使我們能在人的正常生活中估測其壓力水平。因此,該系統必須具有非介入性、用戶友好和可穿戴的特點。最后,該系統還必須能工作數天而無需充電或更換。
針對最終設備的這些要求意味著系統必須符合下列特點:
● 電池供電,因為必須可穿戴
● 低功耗,因為必須對患者監控數天時間
● 小尺寸,因為必須可穿戴且用戶友好
● 低成本,因為如果太貴,解決方案就無法被運用到任何消費級設備當中
● 符合安全法規
為了確保系統的非介入性,必須考慮數據記錄部位。電極的最佳安放部位是手腕上部,因為這種設計可以確保設備的下列特點:非介入性;用戶友好性;機械設計的簡單性。然而,在該部位獲取的信號在質量上不如從身體其他部位獲取的EDA信號,比如食指與中指的中節指骨。5
一旦確定了EDA信號獲取電極的安放部位,我們就知道,最終(目標)系統要采用智能手表或類似設備的形式。這里要確定的下一個指標是EDA電路可以使用的面積。為了確定這個參數,我們分析了多款智能手表,并就這個話題咨詢了多家供應商。結論是,EDA電路的最大面積要小于5 mm × 5 mm。
EDA電路的功耗是要明確的第三個參數。該參數是確保系統能持續數天記錄EDA信號而無需充電或更換設備的關鍵。我們取得了不同智能手表的電池容量數據和部分可能商用系統的功率預算數據。經過研究,確定了功耗目標,要求平均功耗不得超過200 μA。
最后,要明確的最后一項指標是成本。然而,目前還無法確定該指標,因為有多種因素可能會影響到設備的最終成本。精心選擇電路拓撲結構和器件,確保最終解決方案的成本處于合理水平。
硬件設計
本節描述電路拓撲結構、測量范圍和分辨率的確定方式。
其中一個關鍵決定是確定電路的拓撲結構。基本而言,測量阻抗的方法有兩種。系統可以施加電流并測量阻抗范圍內的電壓,也可以施加電壓并測量阻抗范圍內的電流。另外,這些施加信號既可以是直流信號,也可以是交流信號。6 重要的是要分析每種方法的優勢和不足。
有多種電路可以測量交流信號,每種都有自己的優勢和劣勢。然而,為了達到性能、成本和面積方面的限制要求,我們認為最佳選擇是以下解決方案。
我們最后決定,用一個交流電壓源作為激勵源,測量通過患者身體的電流,由此確定皮膚電導率。該解決方案可以避免在單個汗腺上施加高壓,從而避免了汗腺受損的危險,并且符合IEC6060-1標準的要求。交流信號消除了電極極化問題。7
我們需要數字化、存儲和分析要測量的電流。意味著電路需要一個模數轉換器(ADC)。由于多數ADC轉換的是電壓而不是電流,所以,我們需要先把通過患者身體的電流轉換成電壓。這可以通過一個跨阻放大器(TIA)來實現的。在選擇最佳運算放大器時,要考慮的三個關鍵指標是噪聲規格、尺寸和功耗;在實現TIA時要用到這些指標。
一旦確定的系統的拓撲結構,下一步就是確定要開發的系統的測量范圍和分辨率。
EDA信號放大方面的問題主要源于其寬范圍和高分辨率要求。一般地,皮膚電導設備必須覆蓋的范圍為0 μS至100 μS,還要能檢測0.05 μS的波動。分辨率可以通過12位分辨率以上的ADC實現。對于分辨率,本項目的目標是0.01μS,因此需要采用14位或16位分辨率的ADC。8
為了在100 μS的范圍內獲得0.05 μS的分辨率并達到安全法規的要求,需要采用下列模塊。
● 一個交流電壓源
● 確保符合IEC6060-1規范的保護元件
● 用于測量通過患者身體的電流的電路
環境溫度和皮膚溫度的變化會導致EDA信號變化。9 因此,也有必要取得環境溫度和皮膚溫度。這可以通過一個簡單的熱敏電阻和幾個分立元件以及一個ADC來實現。
最后,功耗是該電路中的一個關鍵參數。為了降低功耗,確保僅在需要進行新的測量時激活系統,必須同時集成一個電源管理單元。該模塊必須能由主微控制器輕松控制,并且必須為整個EDA測量電路供電。圖1所示為完整的功能框圖。

圖1.系統框圖。
在以下各節中,我們將明確本應用的最佳組件。
電源管理單元
我們決定用ADP151系列實現電源管理單元,因為該系列具有多個不錯的特性,其封裝和噪聲水平也非常適合本應用的需要。10
電平轉換器
有多種方式和廣泛的集成電路可以用來形成電平轉換器。然而,這些集成電路的面積和價格卻無法滿足本項目的限制要求。因此,本電路中的電平轉換器是用分立元件實現的。基本地,電平轉換器由一個晶體管DMN2990UFZ,11和一個電阻構成。
低通濾波器和TIA
為了實現低通濾波器和TIA,我們選用了ADA4505-2ACBZ,因為它具有優秀低功耗水平、小尺寸和輸入偏置電流超低等特點。12
ADC
符合所有系統要求的ADC是AD7689BCBZ。這款強大的ADC集成了可以在不使用時關閉的基準電壓源,因而可以降低功耗。13
最后,為了確保達到面積限制要求,我們將使用的組件和功能數量降至最低,并且為所有組件選擇了最小的封裝。圖2所示為該系統的布局和尺寸。

圖2.EDA分立式電路布局。
軟件設計
如前所述,系統需要生成一個激勵信號,用于測量皮膚的電導率。該激勵信號是一個交流信號,從交流測量值抽取的兩個參數是信號幅度和激勵信號與獲取的信號之間的相位延遲。最重要的參數是幅度,可以通過多種方式從交流信號中獲取該參數。然而,在本系統中,獲取幅度的最佳方法是實現離散傅里葉變換(DFT)。14
也可以將DFT視為濾波器組,其衰減水平與樣本數成正比,最大值的位置取決于激勵信號。
在這里,有理由采用較大的樣本數(N)來實現DFT,因為這樣做可以改善SNR。然而,DFT的功耗(如果直接實現)與樣本數成比例,采集的樣本越多,功耗越大。這意味著在樣本數與功耗之間存在一個重要的折衷點。
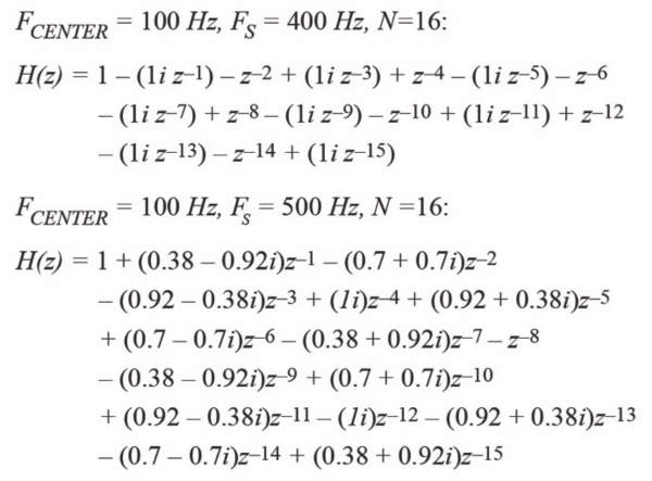
另一個重要參數是采樣頻率與激勵頻率之比。如果采樣頻率為激勵頻率的4倍,則用于實現DFT的等式會非常簡單。這種情況下,涉及浮點乘法的復雜等式會成為加法。如果可用處理器為DSP或Cortex®-M4,則乘法也是可行的。然而,如果必須在Cortex-M0中進行計算,則這可能會成為一個重要問題。不妨比較等式1和100 Hz頻率窗口(FCENTER)的單點DFT計算濾波器表達式,其中,采樣頻率(FS)為400 Hz和500 Hz。

明確要采用的技術以及激勵頻率與采樣頻率之比之后,下一步就是確定激勵頻率。
激勵頻率必須盡可能低,以確保電流會流過患者的皮膚,但不會滲入身體。15 因此,激勵頻率必須小于1 kHz。同時需要指出的是,本應用的主要噪聲源是市電產生的50 Hz/60 Hz噪聲。
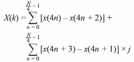
如等式2所示,DFT的各個組分X(k)抵消了n × FS/N形式的頻譜組分的貢獻,其中,n = 0, 1, 2...N – 1,N = k時除外。通過正確定義激勵頻率,我們可以抵消50 Hz噪聲源的貢獻。然而,不能使用高頻率的原因如前所述。所以,不錯的折衷點是100 Hz,雖然我們可能會捕捉到市電干擾源的諧波。
如果激勵信號為100 Hz,采樣頻率為400 Hz,則在50 Hz下,當N等于8、16和32時,會出現零。我們同時要記住的是,樣本數必須盡可能小,以盡量降低功耗。因此,一種不錯的折衷選項是用16個樣本實現DFT。必要時,為了改善SNR,可以增加樣本數。當然,如果噪聲為60 Hz而非50 Hz,則采樣頻率應為480 Hz,激勵頻率應為120 Hz。頻率響應如圖3所示,只涉及加法的數學公式如等式3所示。

圖3.可以把DFT視為濾波器組。這是16個樣本條件下的DFT頻率響應,其中,采樣頻率為400 Hz,中心頻率為100 Hz,頻率窗口為矩形。

機械設計
我們開發了一個評估系統,用于測試和證明以上提出的解決方案。該平臺由EDA測量需要的主傳感器以及其它必要特性構成。移動和溫度可能會影響皮膚阻抗測量結果。9, 16 因此,同時我們也測量了含有移動和溫度的信號。
系統還包括一個電池充電器,用于對平臺中使用的LIPO電池充電。該設備需要采用高容量電池,因為我們希望能實現24小時信號采集。阻抗、溫度和加速度測量值被保存到存儲于微型SD卡上的文件中,也可以通過低功耗的藍牙®把數據發送到平板電腦或個人電腦上。圖4所示為評估平臺。

圖4.EDA評估平臺。ADI watch GEN II。
結果
SNR研究
我們進行了數學分析,確保能在所選組件的噪聲水平以及系統帶寬條件下,實現要求的分辨率。然而,該特性需要用實際測量值檢驗。為此,我們用原型系統測量了多個電阻網絡,以便檢驗功能。研究涉及對同一電阻網絡進行多次測量,以檢查可重復性,從而獲得系統的精度數據。在這項測試中,我們對每個網絡進行了100次測量,通過從取得的結果中的最大值減去最小值,取得了最大誤差。誤差值始終等于或小于0.01 μS。
在驗證系統精度以后,下一步是檢查系統的線性度。為了進行此項實驗,我們將原型接入可編程電阻替代器,以1 kΩ的步進對10 kΩ-500 kΩ的范圍進行了評估。系統的R2為0.9999992。
功耗研究
EDA系統由一個有不同狀態的狀態機構成,用于獲取患者皮膚電導率,確保使功耗維持于最低水平。開始時,在狀態1(S1)下,我們關閉了EDA的AFE,只有微控制器和加速度計處于開啟狀態。平均功耗為139 μA。大約150 ms后,我們打開EDA AFE,由MCU生成方波信號,然后交由LPF濾波。在該階段(S2),我們關閉了ADC基準電壓源,因為信號還不穩定。確保信號穩定需要6個周期,在最差情況下,S2下的平均功耗為230 μA。我們在S3下打開了ADC基準電壓源,系統等待10 ms,確保基準電壓源穩定下來——本階段的平均功耗為730 μA。系統在四個周期中獲取4個樣本,以取得用于在S4中實現DFT的16個樣本點。本階段的功耗為880 μA。DFT在階段S5中實現的。同時在該狀態下取得了加速度計數據,本階段的功耗為8 mA左右。圖5所示為系統功耗。本研究證明,EDA AFE的平均功耗要低于170 μA。

圖5.功耗分析。
實驗檢驗
現在,我們已經對系統進行過電子驗證——因此,下一步是比較EDA電路與基準系統的性能。在本例中,我們以Empatica的E4平臺作為基準系統,因為它具有良好的性能。
確定基準以后,我們要確定能看到EDA信號的變化的測試。選擇的是“放松-壓力”測試。該測試分為兩步:第一步是放松練習,第二步是壓力練習。
放松練習由10分鐘的控制呼吸組成,目的是達到放松狀態。壓力狀態是通過“顏色-詞語-聲音”游戲實現的。在該應用中,用戶會聽到一種顏色,看到一種顏色的文字,該文字是用一種顏色展示出來的。聽到的顏色、用文字描述的顏色和展示的顏色可能相同,也可能不同。正如讀者在圖6中觀察到的那樣,可能有一個下面這樣的句子:
● 選擇顏色
● 選擇聲音
● 選擇詞語
根據句子傳遞的信息和聲音、文字或顏色,受試者需要按下正確的按鈕。用戶必須在進度條走完之前做出反應。
如果在這段時間內用戶沒有反應,或者如果反應是錯誤的,則會減去相應的分值。如果正確,則會增加相應的分值。最后,交換按鈕位置。
在該應用中,有多種設置可以修改,以改變實驗等級(壓力水平)。

圖6.“顏色-詞語-聲音”測試應用。
理論上,在放松任務中,皮膚電導率應該會下降,在壓力活動中,應該增加。在壓力活動中,應該能觀察到峰值或尖峰。直流電平的變化對應于壓力源的強直性反應。在壓力活動中觀察到的峰值被認定為形勢反應,在放松任務中不會出現。
在明確用于取得EDA信號顯著變化和預期響應的程序之后,下一步是進行實驗,對我們的EDA解決方案與Empatica E4平臺進行性能比較。為了進行比較,受試在進行測試時同時戴上兩款設備。Empatica解決方案戴在右手上,測試系統則戴在左手上。這意味著預期信號必須相似,但不完全相同,因為設備是戴在不同的手臂上,測量部位不完全相同;Empatica從腕關節底部獲取EDA信號,我們的解決方案則從腕關節頂部獲取信號。兩臺設備獲取的信號非常相似,如圖7所示。在不同患者身上重復了多次本實驗,以便驗證系統。


圖7.“放松-壓力”測試(左側為測試系統,右側為基準設備)。
結論
本EDA電路是一種巧妙的皮膚電導率獲取方案。得益于平均功耗和尺寸優勢,可以將其集成到任何智能手表或類似平臺中。設備取得了預期性能效果,可以在較寬的范圍內,以高分辨率測量皮膚電導率。EDA電路采用特殊設計,避免了極化和半電池電位效應,可以兼容任何類型的電極。另外,還達到了IEC6060-1的要求。
為了評估和測試電路的特性,我們設計了一個原型。系統設計用以可以在不充電的情況下,24小時持續獲取EDA信號以及皮膚溫度、環境溫度和移動數據,并把信息存儲起來或者以無線方式實時發射出去。因此,可以用該平臺從處于不同狀況的不同人身上采集EDA數據,不受時間限制。最后,可以利用這些信息開發算法,以便檢測、估測或預測人的壓力水平。
參考文獻
1 Melissa Conrad Stöppler,“壓力,”MedicineNet.com,2016.
2 Danmin Miao、Li Luo、Lijun Xioa和Xiaomin Luo,“從波形量化分析角度看心理壓力所致皮質醇水平變化與血管反應之間的關系:血管變化壓力相干指數研究”,Biomedical Engineering and Biotechnology,2012年7月。
3 Chu Kiong Loo、Einly Lim、Manjeevan Seera、Naoyuki Kubota和Wei Shiung Liew,“以Salivary Biomarkers為基準條件下基于心率變異指數的壓力分類研究”,IEEE Transactions on Neural Networks and Learning Systems,2016年10月。
4 Wolfram Boucsein,“皮膚電現象原理”,Electrodermal Activity,第1-86頁,Springer U.S.,2012。
5 Wolfram Boucsein,“記錄壓力”,Electrodermal Activity,第104-109頁,Springer U.S.,2012。
6 Wolfram Bouscein,“皮膚電測量簡介”,Electrodermal Activity,第88-103頁,Springer U.S.,2012。
7 Banu Onaral、Herman P. Schwan、Banu Onaral,“生物電極的電氣屬性”,IEEE Transactions on Biomedical Engineering,1984年12月。
8 Wolfram Boucsein,“皮膚電測量的具體問題”,Electrodermal Activity,第96-98頁,Springer U.S.,2012。
9 Wolfram Boucsein,“氣候條件”,Electrodermal Activity,第189-192頁,Springer U.S.,2012。
10 ADP151數據手冊,ADI公司,2017。
11 DMN2990UFZ數據手冊,Diodes公司,2015。
12 ADA4505-2數據手冊,ADI公司,2017。
13 AD7689數據手冊,ADI公司,2017。
14 Julius O. Smith III,“離散傅里葉變換(DFT)的數學原理:以音頻應用為例”,斯坦福大學,2002。
15 Wolfram Boucsein,“用交流電實現體外記錄,”,Electrodermal Activity,第126-129頁,Springer U.S.,2012。
16 Wolfram Boucsein. “Physiologically Based Artifacts.” Electrodermal Activity, pp 141-143, Springer U.S., 2012.
16 Wolfram Boucsein,“生理偽像”,Electrodermal Activity,第141-143頁,Springer U.S.,2012。
作者簡介
Javier Calpe [javier.calpe@analog.com]畢業于西班牙瓦倫西亞大學,于1989年和1993年分別獲得理學學士學位和物理學博士學位。Javier現為ADI公司西班牙瓦倫西亞開發中心負責人。
Jose Carlos Conchell [jose.conchell@analog.com]現為ADI公司西班牙瓦倫西亞工業與醫療健康事業部的一名產品應用工程師。他專注于生物阻抗應用的研發。José Carlos Conchell于2011年加盟ADI。他畢業于西班牙瓦倫西亞大學,于2007年、2010年和2016年分別獲得理學學士學位、電氣工程碩士學位和生物醫學工程碩士學位。
推薦閱讀:




