【導讀】熱電偶可以用于高精度的溫度測量,但對設計工程師來說卻很棘手。不過,如果你理解熱電偶的工作原理的話,就可以通過堅實的電路設計和校準來優化測量精度。本文介紹了熱電偶的基本原理及電路設計時需要注意的事項。
自20世紀初期以來,熱電偶就被廣泛應用于關鍵的溫度測量,特別是極高溫領域。對于許多工業和過程關鍵應用,T/C和RTD(電阻溫度檢測器)已經成為溫度測量的“黃金標準”。盡管RTD具有更好的精度和可重復性,但相對而言,熱電偶具有如下優勢:

然而,利用熱電偶進行高精度溫度測量可能比較復雜。您可以通過堅實的電路設計和校準來優化測量精度,但理解熱電偶工作原理有助于設計電路或使用溫度計。
熱電偶工作原理
向一段金屬絲施加一個電壓源時,電流從正端流向負端,金屬絲發熱,造成一部分能量損耗。托馬斯·塞貝克在1821年發現的塞貝克效應則是一種反向現象:向一段金屬絲應用某種溫度梯度時,會產生一個電勢。這就是熱電偶的物理基礎。
式中,?V為電壓梯度,?T為溫度梯度,S(T)為塞貝克系數。塞貝克系數與材料相關,并且也是溫度的函數。一段金屬絲上兩個不同溫度點之間的電壓等于塞貝克系數函數在溫度上的積分。
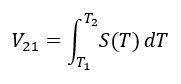
(式2)例如,圖1中的T1、T2和T3表示一段金屬絲上不同位置點的溫度。T1 (藍色)表示最低溫度點,T3(紅色)表示最高溫度點。T2和T1之間的電壓為:
(式3)類似地,T3和T1之間的電壓為:
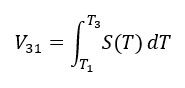
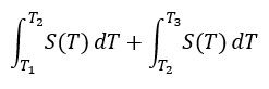
(式4)根據積分的可加性,V31也等于:
(式5)我們在討論熱電偶的電壓與溫度轉換時,要牢記這一點。

圖1:根據塞貝克系數,溫度梯度在傳導性金屬上產生電壓。
熱電偶由兩種不同的金屬組成,金屬絲的塞貝克系數S(T)一般不同。既然一種金屬上的溫度差即可產生電壓差,為什么必須使用兩種金屬呢?假設圖2中的金屬絲是由材料“A”制成的。如果一塊電壓表的探頭也是由材料A制成的,理論上說,電壓表將檢測不到任何電壓。

圖2:電壓測量連接。當探頭和金屬絲的材料相同時,將不存在電勢差。
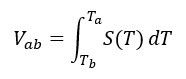
原因是當探頭連接到金屬絲末端時,相當于將金屬絲延長了。長金屬絲的兩個末端連接到電壓表的輸入,具有相同的溫度(TM)。如果金屬絲兩個末端的溫度相同,則不會產生電壓。 為了在數學上證明這一點,我們計算從電壓表正端到負端的整個金屬環上累積的電壓。
(式6)根據積分的可加性,上式變為:
(式7)當積分的下邊界和上邊界相同時,積分的結果為V=0。 如果探頭材料為B,如圖3所示,那么:
(式8)將上式簡化,我們得到:
(式9)式9表明,測量電壓等于兩種材料的塞貝克系數函數之差的積分。這就是熱電偶使用兩種異金屬的原因。

圖3:電壓測量連接。探頭和金屬絲采用不同的材料,說明了塞貝克系數的物理現實。

根據圖3中的電路和式9,假設SA(T)、SB(T)以及被測電壓已知,我們仍然不能計算得到熱端的溫度(TH),除非我們已知冷端的溫度(TC)。在熱電偶的早期階段,使用溫度為0°C的冰點爐作為參考溫度(術語“冷端”由此而來),因為這種方法的成本低、容易實現,并且能夠自我調節溫度。等效電路如見圖4所示。

圖4:熱電偶需要一個參考溫度,圖中所示的0°C,以便計算未知溫度TH。
熱電偶系統
現代熱電偶由一端(TH)連接在一起的兩根不同的金屬絲組成。在金屬絲對的開路端測量電壓。根據圖5所示的等效電路,VC與上圖3中的公式9相同。
(式10)
圖5:采用冷端補償的現代熱電偶配置。
冷端補償
冷端補償冷端(TC)溫度可設定為冰點爐的0°C,但在實際應用中,我們不使用冰水桶作為參考溫度。利用CJC (冷端補償)方法,可在不使用0°C冷端溫度的情況下計算得到熱端溫度。甚至冷端溫度不一定是恒定的。該方法僅僅使用一個獨立的溫度傳感器來測量TC點的溫度。如果已知TC,就能得到TH。
如果我們使用溫度傳感器測量冷端溫度,那么為什么不使用這個傳感器直接測量熱端的溫度呢?您可以看到,冷端溫度范圍比熱端溫度范圍窄得多,所以溫度傳感器不需要支持熱電偶支持的極端溫度。
利用CJC計算熱端溫度
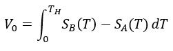
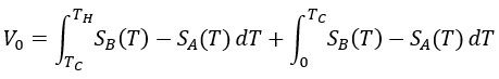
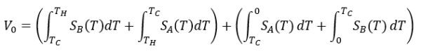
如上所述,所有標準熱電偶參考表都是在冷端為0°C時得到的。那么如何利用參考表得到熱端溫度呢?試想一下,將以上熱電偶的開路端延長,假想端點連接至溫度為0°C的結點(圖6)。如果我們能夠計算得到V0值,利用參考表就很容易得到對應的熱端溫度。

圖6:將延長后的熱電偶連接到0°C結點,即可確定未知熱端溫度TH
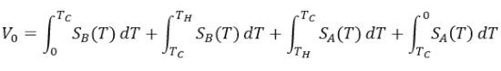
確定V0
(式11)重新整理上式:
(式12)
(式13)
(式14)式13的第一項與式10 (由圖5得到)完全相同。等效電壓輸出為VC,為已知值,因為冷端的溫度是由電壓表測得的。第二項等效于熱電偶在熱端溫度等于TC、冷端溫度等于0°C時的輸出。 由于TC也是由獨立的溫度傳感器測得的,我們可使用標準參考表查找得到式13中第二項的對應塞貝克電壓(Vi):
利用該V0值,即可通過標準參考表確定TH時的對應溫度。
利用冷端補償計算熱端溫度的過程分為以下幾步:

標準熱電偶參考表可參見NIST ITS-90熱電偶數據庫。如果因為內存或其它原因無法在微控制器中實現查找表,NIST ITS-90網站也針對每種熱電偶類型提供了一組公式,可用于溫度和電壓之間的相互轉換。
系統設計要點
至此,以上討論僅限于熱電偶的理論知識。為優化實際系統的精度,有幾個事項需要注意。基本熱電偶信號鏈(圖7)中的每個器件都將影響轉換精度,必須嚴格挑選,以將誤差降至最低。

圖7:熱電偶測量系統的基本元件包括放大器和ADC,以及之后可計算未知溫度的微控制器。
從圖7的左側開始,熱電偶連接至系統電路板的連接器。熱電偶本身也是傳感器,也可能是誤差源。較長的熱電偶很容易拾取周圍環境的電磁噪聲;屏蔽線可有效降低噪聲。 接下來的元件是放大器,它具有高輸入阻抗非常重要,因為放大器的輸入阻抗和熱電偶電阻形成一個分壓器。放大器輸入阻抗越高,產生的誤差越小。
(式16)此外,放大器增大熱電偶輸出,熱電偶輸出通常為毫伏范圍。盡管放大器的高閉環增益同時放大信號和噪聲,但在ADC輸入上增加低通濾波器可消除大部分噪聲。因為溫度變化不會非常快,此類應用的ADC轉換率一般非常低——可能每秒只采樣幾次,所以低通濾波器非常有效。
最后,板載溫度傳感器需要非常靠近冷端連接器(理想情況是與熱電偶絲的末端接觸,但許多情況下條件不允許),獲得最好的冷端溫度測量結果。冷端測量中的任何誤差都將體現在熱端溫度計算中。
熱電偶電路實例及測試結果
無論設計自己的熱電偶測量電路還是采用參考設計,都需要驗證其精度。以下介紹MAXREFDES67#參考設計(圖8)的精度驗證。

圖8:MAXREFDES67#是用于熱電偶和RTD的參考設計,可測量電壓和電流,進而測量溫度,測量溫度范圍為-40°C至150°C。
為了舉例說明如何最大程度減小測量誤差,我們首先以熱電偶系統為例,例如Maxim的MAXREFDES67參考設計。為了驗證該測量系統或任何測量系統的誤差,需要一個已知溫度和值得信賴的儀表,用于比較。本例中,我們使用三個參考溫度計:Omega HH41測溫儀(現在被HH42取代)、ETI參考溫度計和Fluke 724溫度校準器。 連接到MAXREFDES67#的K型熱電偶置于Fluke 7341校準爐中,并在20°C下進行校準。藍點數據以Omega HH41作為參考,綠點數據使用ETI設備為參考。紅點數據顯示的最大誤差小于0.1°C,基于Fluke 724校準器,但與之前測試不同的是,Fluke 724未用作參考儀器。模擬理想K型熱電偶輸出,并將MAXREFDES67#的輸入與熱電偶延長線相連。圖9所示為測試結果。

圖9. 利用Omnitec EC3TC(K型熱電偶,在20°C下經過校準),評估MAXREFDES67#的誤差與溫度關系,并將其與其它三款參考測溫儀進行比較。結果表明達到了非常高的精度。

圖10:MAXREFDES67#參考設計框圖。

總結
熱電偶在工業溫度測量應用領域具有諸多優勢,包括溫度范圍、響應時間、成本和耐久性。熱電偶理論略微有些復雜,但我們必須完全理解,從而能夠進行正確測量以及從電壓到溫度的高精度轉換。MAXREFDES67#參考設計采用MAX11254和MAX6126這兩款芯片,特別適合于熱電偶測溫這種噪聲敏感的小信號,高精度的測量應用。其中,MAX11254為6通道、24位、Δ-Σ ADC,在實現低噪聲高精度的同時降低了10倍功耗;MAX6126是一款超低噪聲、超高精度、低壓差的串聯型電壓基準,溫度系數為3ppm/°C (最大),具有出色的±0.02% (最大)初始精度。
推薦閱讀:
從儲能、阻抗兩種不同視角解析電容去耦原理
數字電路PCB設計中的EMC/EMI控制技術
較簡單二極管更靈敏的AM檢波器設計
從硬件到算法,單目視覺ADAS背后有哪些技術原理及難點?
細談去耦合對電磁兼容的影響





