陶顯芳老師談開關變壓器的工作原理與設計其他相關文章:
陶顯芳老師談開關變壓器的工作原理與設計之一——開關變壓器的伏秒容量與測量
http://www.yttele.cn/power-art/80022261
陶顯芳老師談開關變壓器的工作原理與設計之二——對開關變壓器的伏秒容量進行檢測
http://www.yttele.cn/power-art/80022265
陶顯芳老師談開關變壓器的工作原理與設計之三——開關變壓器伏秒容量的意義
http://www.yttele.cn/power-art/80022276
例1:電視機中使用的行掃描回掃開關變壓器,簡稱高壓包,其工作原理屬于脈沖變壓器,但也屬于反激式開關變壓器的范疇。高壓包的工作電壓與占空比是固定的,其磁滯回線也基本是固定的,因此,高壓包的鐵芯氣隙相對要留得比一般開關變壓器的小,漏感相對也比較小。
高壓包初級線圈的電感量為6毫亨,工作電壓一般為120V,正程掃描時間(脈沖寬度)
為52uS ,逆程掃描時間為12uS 。這里我們檢測它的伏秒容量是否設計得合理,或是否工作于最佳工作狀態。
為此,我們可以根據(8)式,先計算流過高壓包初級線圈的最大電流Im,然后再求其極限電流Imax的值,即:測試時選用迭加電流的值。

根據上面分析,以及圖8和圖10,正常工作時,流過高壓包初級線圈的最大電流Im不應該超過極限電流值Imax的70%,由此,可以求得流過高壓包初級線圈的極限電流Imax為1.49 A 。
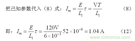
上面計算出來的極限電流Imax值,就是用來測試高壓包初級線圈的迭加電流的數值。根據圖7,把電流源的電流設置為1.49 A,即:設置測試高壓包初級線圈的迭加電流為1.49 A,然后測試高壓包初級線圈的電感;如果測試結果Lx的數值等于或者大于初始電感L0的90%,則說明,高壓包初級線圈的伏秒容量設計是合格的,即:高壓包鐵芯的磁感應強度基本工作于最佳狀態范圍之內;如果測試結果Lx小于初始電感L0的90%,則說明,高壓包初級線圈的伏秒容量余量太小,不合格,即:高壓包鐵芯的磁感應強度工作于接近飽和區的范圍之內,磁滯損耗以及渦流損耗比較大,并且開關變壓器容易出現磁飽和。
對于高壓包除了測試伏秒容量的大小之外,還應該檢測高壓包初級線圈的漏感。正常漏感的數值一般都小于初級線圈電感量的2%,如果太大,則說明鐵芯留的氣隙長度過大,或者高壓包初、次級線圈的繞線方法或結構不合理。
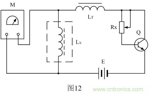
這里順便說明,采用圖7測試時應該注意的地方。圖7中,隔離電感LT的數值要求是測試電感Lx數值的3倍以上,并且測量高壓包初級線圈的初始電感值L0時,最好也要接入電路之中。這里,隔離電感LT可選取20毫亨以上的矽鋼片直流電感,電感的鐵芯要留有氣隙;流電源可用一個穩壓電源與一個大功率電阻串聯代替,如圖11,或用一個穩壓電源與一個大功率晶體放大器串聯來代替,如圖12。

[page]
在圖11中,E為穩壓電源,R為大功率電阻,阻值范圍在1~10歐姆比較合適,阻值太大損耗功率會很大;調節穩壓電源的電壓輸出,就可以調節迭加電流的大小。

在圖11中,E為穩壓電源,Rx為可調電阻,Q為晶體管大功率放大器(必須帶散熱片);調節穩壓電源的輸出電壓,或改變可變電阻的阻值,就可以改變迭加電流的大小,但晶體管大功率放大器集電極與發射極之間的電壓降不要大于10V,否則,晶體管大功率放大器的損耗將很大。一般穩壓電源都有電流輸出指示,所以在測試電路中不需要另外安裝電流表。
這里特別指出,在測試高壓包初級線圈的初始電感L0的時候,高壓包的鐵芯必須要退磁,否則,測試結果將不準確。一般帶有磁性的開關變壓器初級線圈的電感量,要略大于沒帶磁性開關變壓器初級線圈的電感量。高壓包退磁的方法請參考圖14和圖15,以及說明。
另外,迭加電流Imax的值一般是正常工作時,流過高壓包初級線圈電流(平均值或有效值)的好幾倍。例如:上例測試的高壓包,正常工作時,其平均電流Ip大約才有0.42 A,但迭加電流Imax的值為1.49 A ;由此求得,迭加電流Imax的值是正常工作時平均電流的3.5倍。一般高壓包初級線圈漆包線的電流密度都小于3A/mm2 ,從而可求得,流過高壓包初級線圈漆包線迭加電流的最大電流密度為10.5 A/mm2 。
因此,通過對高壓包初級線圈伏秒容量的檢查,同時也是對高壓包初級線圈的線徑進行檢查。一般漆包線在40度溫升的情況下,其最大電流密度大約在13A/ mm2左右(直流),因此,通過測量高壓包線圈的溫升就可以知道高壓包線圈的設計是否合理。
這里順便介紹一下電流平均值Ip的求法,以及其與最大電流Im和極限電流Imax的關系。圖13是電流平均值Ip與最大電流Im和極限電流Imax之間的關系圖。

圖13中,Ip為流過高壓包初級線圈的平均電流,
為正程掃描期間,流過高壓包初級線圈的平均電流;Im為正程掃描期間,流過高壓包初級線圈的最大電流;Imax為正程掃描期間,流過高壓包初級線圈的極限電流;
1為正程掃描時間(52 uS),
2為逆程掃描時間(12 uS),
x 為極限正程掃描時間。
[page]
例2:電視機開關電源一般都是脈沖調寬反激式開關電源,它有兩種工作方式:一種是脈沖調寬兼調頻工作方式;另一種工作方式是工作頻率不變,只對脈沖寬度進行調制。前一種工作方式多在自激式開關電源中使用,后一種工作方式多在由集成電路構成的他激式開關電源中使用。
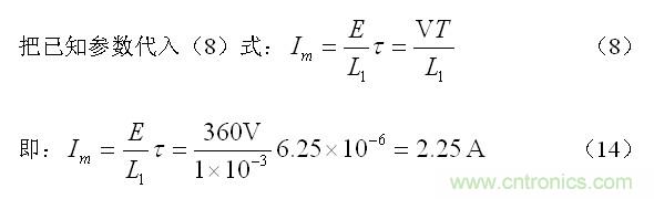
設一個100W電視機開關電源使用的開關變壓器,其初級線圈的電感量為1毫亨,其最高工作電壓為360V,最低工作電壓為110V。由于開關管的耐壓一般只有600V左右,并且還要預留最少20%的余量,因此,在最高工作電壓和負載最重的狀態下,開關電源的占空比最大值只能取0.25,即:D = 0.25 ;當開關電源的負載為最重的時候,占空比也處于最大值。設開關電源的工作頻率為40kHz,當占空比為最大值時電源開關管導通時的脈沖寬度
= 6.25uS 。
根據上面已知參數我們可以利用(8)式來計算流過開關變壓器初級線圈的最大電流Im,然后再求其極限電流Imax的值,即:測試開關變壓器初級線圈電感時選用的迭加電流值。
根據前面分析,以及圖8和圖11,正常工作時,流過高壓包初級線圈的最大電流Im不應該超過極限電流值Imax的70%,由此,可以求得流過高壓包初級線圈的極限電流Imax為3.21 A 。
上面計算出來的極限電流Imax值,就是用來測試開關變壓器初級線圈的迭加電流的數值。根據圖7,把電流源的電流設置為3.21 A ,即:測試開關變壓器初級線圈的迭加電流為3.21 A,然后測試開關變壓器初級線圈的電感;如果測試結果Lx等于或者大于初始電感L0的90%,則說明,開關變壓器初級線圈的伏秒容量設計是合格的;如果測試結果Lx小于初始電感L0的90%,則說明,開關變壓器初級線圈的伏秒容量余量非常小,不合格。
假設其它參數不變,而把工作電壓由360V降為110V時,開關電源的最大占空比可取值為0.7708,即:D = 0.7708 。由此可求得,當開關電源的工作頻率為40kHz時,電源開關管導通時的脈沖寬度
= 19.27uS ,由此可以求得流過開關變壓器初級線圈的最大電流Im為: 
比較(14)和(15)式可以看出,雖然開關變壓器的工作電壓不同,但兩式最大工作電流Im以及極限電流Imax基本上是一樣的。值得注意的是,雖然他們的最大電流值基本相同,但它們的平均電流值卻不一樣。前者的平均電流為0.281A,后者的平均電流為0.817A 。因此,在選取開關變壓器初級線圈漆包線粗細的時候,一定要按平均電流的大小來選取。由此可知,一個雙電壓開關電源(110V/220V),其工作效率要比單電壓開關電源低,因為,雙電壓開關電源銅阻損耗要比單電壓開關電源大很多。
同理,除了測試開關變壓器初級線圈伏秒容量的大小之外,還應該檢測開關變壓器初級線圈的漏感大小。反激式開關變壓器初級線圈的漏感一般都小于初級線圈電感量的5%,如果太大,則說明鐵芯留的氣隙長度過大,或者開關變壓器初、次級線圈的繞線方法或結構不合理。
當我們通過測試,知道開關變壓器初級線圈的極限電流Imax數值,再根據(8)式或(10)式,就可以知道開關變壓器伏秒容量的最大值VTm,或開關變壓器伏秒容量的極限值VTmax ;根據VTm值,我們就可以進一步來確定開關變壓器的工作電壓和脈沖寬度
。
開關變壓器的工作電壓和脈沖寬度
的關系,可以根據(8)式求得。在選定工作電壓的情況下,可把Im = 0.7 Imax代入(8)式,即可求得最大脈沖寬度
m 。
然后再根據脈沖寬度
進一步求占空比D和工作頻率。下面(16)式和(17)式是計算脈沖寬度
和占空比D以及工作頻率的關系式:
(16)式中,D為開關電源工作時的占空比,Dm為開關電源工作時的最大占空比,
為脈沖寬度,T為開關電源的工作周期,F為工作頻率,E為開關電源的工作電壓,Ucmax為電源開關管集電極(或漏極)的最大工作電壓。一般Ucmax 的最大值只能取到電源開關管最大耐壓值BVceo 的80% ,即選用電源開關管時,其耐壓要留有20%的余量。因此,對開關變壓器伏秒容量的測試,必須結合具體電路進行。
這里還需特別指出,在測試開關變壓器初級線圈的初始電感L0的時候,開關變壓器的鐵芯必須要退磁,否則,測試結果將不準確。一般帶有磁性的開關變壓器初級線圈的電感量,要略大于沒帶磁性開關變壓器初級線圈的電感量。




