中心議題:
- 基于混沌現象的寬頻譜特性提出一種新的DC/DC轉換器控制策略
- 推導能夠產生可控幅度混沌序列的Logistic映射形式
- 利用混沌序列對電流滯環控制策略的電流參考值進行擾動
- 仿真研究證明該控制策略可以改善的DC/DC轉換器電磁兼容性能
解決方案:
- 通過擴展頻譜的方法,降低DC/DC在開關頻率及其諧波頻率上的EMI
- 電流設定值在原有值基礎疊加一個在ΔImax內波動的混沌序列,擴展電流波形頻譜
- 利用計算機仿真技術觀察在兩種控制策略下,Boost變換器電感電流功率譜的變化
近年來由于各種電氣、電子設備數量的急劇增加,使設備間的電磁兼容性(EMC)日益受到了人們的重視。歐共體已經規定,從1996年1月1日起進入歐共體市場的電子、電氣產品必須符合相關的EMC標準,否則不允許在歐洲市場流通。因此,為了提高電子、電氣產品在國際市場上的競爭力,EMC性能是一個不容忽視的問題。
采用脈寬調制(PWM)模式控制的DC/DC電源模塊在正常工作時,所有的電壓電流波形都是周期的。因此,在開關頻率及其諧波頻率上會產生較強的電磁干擾(EMI),從而使整個設備不能滿足相關EMC標準的要求。
[page]
混沌現象是近年來非線性理論研究的一個熱點?;煦缧蛄芯哂蓄愃齐S機序列的寬頻譜特性,且易于產生。本文利用混沌序列的特點,提出了一種新的DC/DC轉換器控制策略,該控制策略降低了變換器在開關頻率及其高次諧波頻率上的EMI。
Logistic映射有多種表達式,如式1所示是常見的一種。
把u做為分叉參數,由分叉理論可知,當u=3和
時系統分別產生周期2和周期4不動點。系統發生混沌的臨界值

式中δ≈4.6692為Feigenbaum常數。代入數值計算,uc≈3.5714,如圖1a所示。由圖可知,當分叉參數u=4時,x系統處于混沌狀態,變量x在區間(0,1)內取值。
為了得到可在任意范圍內取值,且其均值為0的混沌序列,做如下變換:
![]()
代入式(1),令u=4并且在滿足迭代序列平均值為0條件下,整理得到

為了便于表述,稱式(4)為變形Losgistic映射。利用變形Losgistic映射得到的混沌序列,其取值圍由參數a控制,且均值為零。當a=0.4時得到的在(-0.2,0.2)內取值的混沌序列如圖1c所示。

(a)Logistic映射分叉圖

(b)Logistic映射產生的混沌序列(u=4)

(c)變形Logistic映射產生的混沌序列(a=0.4)
圖1Logistic映射
新控制策略的原理
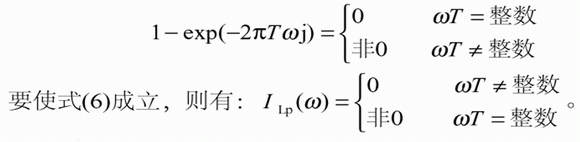
[page] 如圖2所示為一種常見的DC/DC控制策略——滯環控制策略。該控制策略限定了電感電流波動的最大值ITop和最小值Ibotton,電感電流波形如圖3a所示。此時,電感電流為周期的,變換器有固定的開關周期T。設電感電流為ILp(t),則
式中T為開關周期。對式(5)做傅里葉變化,應用移位定理并整理得

式中ILp(w)是ILp(t)的傅里葉變換。因為

可以看到,由于在該工作模式下電流波形是一個周期波形,從頻域的角度,電流的頻譜是離散的,所以電流的能量集中在開關頻率及其高次諧波上,使這些頻率上的電流分量較大,頻率的EMI也較大。

通過分析相應的EMC標準發現,該標準往往是對在一定范圍內的EMI的最大值進行了規定,而工作在周期狀態下的DC/DC模塊在開關頻率或其諧波頻率上的EMI可能會超過規定值,從而使該DC/DC模塊不能遵守該EMC標準。此時,可以通過擴展頻譜的方法來提高降低DC/DC在開關頻率及其諧波頻率上的EMI來滿足相應的EMC標準?;诖吮疚奶岢龅男碌目刂撇呗裕?/p>
為了擴展電流波形的頻譜,讓電流設定值(IBottom與ITop)在原有值的基礎上疊加一個在ΔImax內波動的混沌序列,如圖3b所示。此時電感電流的波形不再是周期波形,式(5)、(6)也不成立,電感電流的頻譜由離散狀態變為連續狀態。這樣,集中在開關頻率及其諧波上的能量得到擴散,大大減低了在這些頻率上的電流分量,使DC/DC模塊更容易滿足EMC標準的要求。
仿真研究
采用新控制策略的Boost變換器其結構示意圖如圖4所示。

為了驗證新方法的有效性,利用計算機仿真技術觀察在兩種控制策略下,Boost變換器電感電流功率譜的變化。令兩種控制策略下的Boost變換器,其各元件值相同:R=10Ω,L=1mH,C=47μF,us=10V。又令ITop=0.4A,IBottom=0.38A,ΔImax=0.005A。
仿真結果如圖5所示,為了便于同EMC標準對照,電流功率譜采用對數表示。在開關頻率fs及各次諧波上電流的減小如表1所示。
[page]

(a)滯環控制策略的電感電流及其功率譜

(b)新控制策略的電感電流及其功率譜
圖5仿真結果
結論
本文指出DC/DC變換器在開關頻率及其高次諧波上有著較強的電磁干擾發射,其主要原因是電路中的電流波形是周期的。為了擴展電路中電流的頻譜,利用混沌序列對滯環控制策略的電流參考值進行擾動,破壞了電路中電流的周期性。計算機仿真結果表明,這種控制策略擴展了電感電流的頻譜,降低了在開關頻率及其各次諧波頻率上的電磁干擾發射,因此新控制策略可以提高DC/DC變換電源的電磁兼容性。



