【導讀】本期,我們將聚焦于DCM 反激式轉換器的設計探討為何在低功耗、低電流應用中DCM 反激式轉換器是一種結構更緊湊、成本更低的選擇并講解完成此類設計的分步方法。
本期,我們將聚焦于DCM 反激式轉換器的設計探討為何在低功耗、低電流應用中DCM 反激式轉換器是一種結構更緊湊、成本更低的選擇并講解完成此類設計的分步方法。
反激式轉換器可在連續導通模式 (CCM) 或不連續導通模式 (DCM) 下運行。不過,對于許多低功耗、低電流應用而言, DCM 反激式轉換器是一種結構更緊湊、成本更低的選擇。以下是指導您完成此類設計的分步方法。
DCM 運行的特點是,在下一個開關周期開始之前,轉換器的整流器電流會降至零。在開關之前將電流降至零,可以降低場效應晶體管 (FET) 功耗和整流器損耗,通常也會降低變壓器尺寸要求。
相比之下,CCM 運行會在開關周期結束時保持整流器電流導通。我們在電源設計小貼士《反激式轉換器設計注意事項》和電源設計小貼士《設計 CCM 反激式轉換器》中介紹了反激式設計的利弊和 CCM 反激式轉換器的功率級公式。CCM 運行非常適合中高功率應用,但如果您有一個可以使用 DCM 反激式轉換器的低功率應用,請繼續閱讀。
圖 1 展示了反激式轉換器的簡化原理圖,該轉換器可在 DCM 或 CCM 模式下運行。此外,電路還能根據時序在不同模式之間切換。要保持在 DCM 模式下運行(這也是本文要評估的內容),關鍵元件的開關波形應具有圖 2 所示的特性。
當 FET Q1 在占空比周期 D 內導通時,運行開始。T1 初級繞組中的電流始終從零開始,然后達到根據初級繞組電感、輸入電壓和導通時間 t1 設定的峰值。在此 FET 導通期間,二極管 D1 由于 T1 次級繞組極性而反向偏置,迫使在 t1 和 t3 期間由輸出電容器 COUT 提供所有輸出電流。
圖 1. 這款簡化的反激式轉換器可在 DCM 和 CCM 下運行。
當 Q1 在周期 1-D 內關斷時,T1 的次級電壓極性會反轉,從而允許 D1 向負載傳導電流并為 COUT 充電。在 t2 時間內,D1 中的電流從峰值線性下降至零。一旦 T1 的儲存能量耗盡,在 t3 期間的剩余時間內只會出現殘余振鈴。產生這種振鈴的主要原因是 T1 的磁化電感以及 Q1、D1 和 T1 的寄生電容。這在 t3 期間的 Q1 漏極電壓(該漏極電壓從 VIN 加上反射輸出電壓下降回 VIN)中很容易看出, 因為一旦電流停止,T1 就無法支持電壓。(注意:如果 t3 沒有足夠的死區時間, 則可能會在 CCM 下運行。)CIN 和 COUT 中的電流與 Q1 和 D1 中的電流相同,但沒有直流失調電壓。
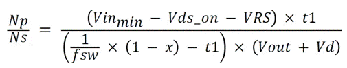
圖 2 中的陰影區域 A 和 B 突出顯示了變壓器在 t1 和 t2 期間的伏微秒積, 它們必須保持平衡才能防止飽和。區域 “A” 表示 (Vin/Nps) × t1, 而 “B” 表示 (Vout + Vd) × t2, 兩者均以次級側為基準。Np/Ns 是變壓器初級/次級匝數比。
圖 2. DCM 反激式轉換器的關鍵電壓和電流開關波形包括設計人員必須指定的幾個關鍵參數。
表 1 詳細說明了 DCM 相對于 CCM 的運行特性。DCM 的一個關鍵屬性是,初級電感越低,占空比就越小,無論變壓器的匝數比如何。此屬性可用于限制設計的最大占空比。當您嘗試使用特定的控制器,或保持在特定的導通或關斷時間限制內時,這一點非常重要。較低的電感需要較低的平均儲能(盡管峰值 FET 電流較高),這也往往使得變壓器尺寸小于 CCM 設計所需的尺寸。
DCM 的另一個優點是,這種設計消除了標準整流器中的 D1 反向恢復損耗, 因為電流在 t2 結束時為零。反向恢復損耗通常表現為 Q1 中的耗散增加, 因此消除反向恢復損耗可降低開關晶體管上的應力。此方法的優勢在輸出電壓較高的情況下變得越來越重要,因為整流器的反向恢復時間會隨著額定電壓較高的二極管的增加而延長。
<img 1.="" 與="" ccm="" 設計相比.png"="" src="http://design.eccn.com/uploads/article/202410/20241012100113697.gif" width="467" height="175" style="padding: 0px; margin: 0px auto; border: 0px; vertical-align: middle; display: block;">
表 1. 與 CCM 設計相比,DCM 反激式設計既有優點, 也有缺點。
開發人員在開始設計時需要了解幾個關鍵參數以及基本電氣規格。首先選擇開關頻率 (fSW)、所需的最大工作占空比 (Dmax) 和估算的目標效率。然后, 方程式 1 按如下方式計算導通時間 t1:
方程式 1
接下來, 使用方程式 2 估算變壓器的峰值初級電流 Ipk。對于方程式 2 中的 FET 導通電壓 (Vds_on) 和電流檢測電阻電壓 (VRS), 假設一些適合您設計的小壓降(如 0.5V)。您可以稍后更新這些壓降。
方程式 2
方程式 3 會根據圖 2 中的均衡區域 A 和 B 計算所需的變壓器匝數比 Np/Ns:
方程式 3
其中 x 是 t3 所需的最短空閑時間(從 x = 0.2 開始)
如果您想更改 Np/Ns,請調整 Dmax 并再次迭代。
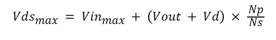
接下來,使用方程式 4 和方程式 5 計算 Q1 (Vds_max) 和 D1 (VPIV_max) 的最大“平頂”電壓:
方程式 4
方程式 5
由于這些元件通常會因變壓器漏電感而產生振鈴, 因此根據經驗,實際值應比方程式 4 和方程式 5 預測值高出10% 至30%。如果 Vds_max 高于預期,則減小 Dmax 會降低 Vds_max, 但 VPIV_max 會增加。確定哪個元件電壓更為關鍵,并在必要時再次迭代。
使用方程式 6 計算 t1_max,該值應接近于方程式 1 中的值:

方程式 6
使用方程式 7 計算所需的最大初級側電感:
方程式 7
如果所選電感比方程式 7 中所示的更低, 則根據需要進行迭代, 以增大 x 并減小 Dmax, 直到 Np/Ns 和 Lpri_max等于所需值為止。
現在可以計算方程式 7 中的 Dmax:

方程式 8
并且可以分別使用方程式 9 和方程式 10 計算最大 Ipk 及其最大均方根 (RMS) 值:
方程式 9
方程式 10
根據所選控制器的電流檢測輸入最小電流限制閾值 Vcs( 方程式 11) 計算允許的最大電流檢測電阻值:
方程式 11
使用方程式 11 中計算出的 Ipkmax 值和 RS 來驗證方程式 2 中假設的 FET Vds 和檢測電阻 VRS 的壓降是否接近;如果明顯不同,則再次迭代。
使用方程式 12 和方程式 13 計算 RS 的最大耗散功率,并根據方程式 10 計算 Q1 的導通損耗:
方程式 12
方程式 13
FET 開關損耗通常在 Vinmax 時最高,因此最好使用方程式 14 計算整個 VIN 范圍內的 Q1 開關損耗:

方程式 14
其中 Qdrv 是 FET 總柵極電荷,Idrv 是預期的峰值柵極驅動電流。
方程式 15 和方程式 16 計算 FET 非線性 Coss 電容充電和放電產生的總功率損耗。方程式 15 中的被積函數應與實際 FET 的 Coss 數據表中 0V 至實際工作電壓 Vds 之間的曲線密切吻合。在高壓應用中或使用超低 RDS(on)FET(具有較大 Coss 值)時,Coss 損耗通常非常大。

方程式 15
方程式 16
可通過對方程式 13、方程式 14 和方程式 16 的結果求和來近似計算總 FET 損耗。
方程式 17 表明該設計中的二極管損耗將大大降低。務必選擇一個額定次級峰值電流的二極管,該電流通常遠大于 IOUT。

方程式 17
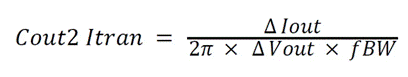
輸出電容通常選擇為方程式 18 或方程式 19 中的較大者,根據紋波電壓和等效串聯電阻(方程式 18)或負載瞬態響應(方程式 19)計算電容:

方程式 18
方程式 19
其中 ?IOUT 是輸出負載電流的變化,?VOUT 是允許的輸出電壓偏移,fBW 是估算的轉換器帶寬。
方程式 20 計算輸出電容器均方根電流為:

方程式 20
方程式 21 和方程式 22 估算輸入電容器的參數為:

方程式 21
方程式 22
方程式 23、方程式 24 和方程式 25 總結了三個關鍵波形時間間隔及其關系:

方程式 23
方程式 24

方程式 25
如果需要額外的次級繞組,方程式 26 可輕松計算額外的繞組 Ns2:
方程式 26
其中 VOUT1 和 Ns1 是穩壓輸出電壓。
變壓器初級均方根電流與方程式 10 中的 FET 均方根電流相同;變壓器次級均方根電流如方程式 27 所示。變壓器磁芯必須能夠處理 Ipk 而不會飽和。您還應考慮磁芯損耗,但這超出了本文的討論范圍。
方程式 27
結語
從提供的步驟中可以看出,DCM 反激式設計是一個迭代過程。最初的一些假設(如開關頻率、電感或匝數比)可能會根據后來的計算(如功率耗散)而改變。但要不斷嘗試,盡可能頻繁地執行設計步驟,以實現所需的設計參數。如果您愿意付出努力,優化的 DCM 反激式設計可以提供低功耗、緊湊型和低成本的解決方案,以滿足電源轉換器的需求。
免責聲明:本文為轉載文章,轉載此文目的在于傳遞更多信息,版權歸原作者所有。本文所用視頻、圖片、文字如涉及作品版權問題,請聯系小編進行處理。
推薦閱讀:
基于GPU器件行為的創新分布式功能安全機制為智能駕駛保駕護航





