中心議題:
- 連接器互調測量及產生原因
- 測量數據與計算數據的對比
在微波網絡中,同軸連接器是引起互調的主要來源。同軸連接器的非線性特性是引起互調的主要原因。準確確定同軸連接器的無源互調對整個射頻系統設計有重大的意義。
目前大多數的連接器生產廠家采用的測試方法都是一起測試兩個同軸連接器,具體辦法是根據需要測試的連接器制作一個圓桶狀工裝,然后將待測量的連接器的內導體鋸短使之與外面的介質相齊平, 將兩個連接器的內導體互相連接安裝在工裝里,一端接互調儀,另一端接低互調負載,測量兩個連接器級聯的互調值。這種測試方法有三個缺點:
(1)對不同的連接器要制作不同的工裝,程序比較麻煩,耗時長;
(2)這種測試方法是抽樣測試,雖然在工藝或者其他方面保證了互調的穩定性,但是畢竟不是個個測量,難免存在漏網之魚,這會給用戶帶來困擾;
(3)在這種測試方法中,引入了一個新的接觸面,就是內導體對內導體的平面,這對測試系統的殘余互調會造成影響,但是很難確定影響的大小。基于傳統的測試方法的種種缺點,本文提出一種新的連接器的互調測試方法——開路測試法。
這種測試方法是讓連接器的一端開路,另一端接互調儀。這種方法可以在不破壞同軸連接器的基礎上確定同軸連接器的無源互調值。
本文首先建立一個連接器的測試模型,然后根據這個模型,利用矢量網絡分析儀分別測量連接器模型在開路和接負載兩種情況下的負載反射系數和源反射系數在不同頻率的值。利用這些數據就可以計算出微波無源網絡中同軸連接器在網絡中開路和接負載兩種情況下的互調。最后,用互調分析儀測量連接器的互調值驗證了這種方法的有效性。
1 互調測量及產生原因
本文中所有PIM的測量都是采用Jonitcom公司的PIM分析儀,外型如圖1所示。其簡化的測量系統圖如圖2所示。


該系統中兩個大功率載頻f1和f2通過雙工濾波器發射到DUT,終端接50 Ω負載。PIM產生的雜散信號在DUT中產生,并在兩個方向傳播——“前向”到匹配負載,“反向”到雙工濾波器。發射激勵信號的頻率和被測的IM產物的頻率由雙工濾波器的TX和RX通道決定。接收機測量反向傳播的IM波功率。
PIM測試分為兩種,一種是傳輸測試法,如圖3所示,另一種是反射測試法,如圖4 所示。本文采用反射法測量,發射功率均為43 dBm。當載頻為f1和f2,測量的IM產物的頻率為

[page]
研究發現連接器中的非線性失真產生于沿著連接器的方向上的某一個特殊點(很象適配器上的金屬和金屬的連接接點)。在這個基礎上,對被測器件分析。
DUT非線性產生的IM形成兩個電壓波:為反向傳播IM電壓波,它由DUT的反向端面發出;為前向傳播IM電壓波,產生于DUT的前向端面。如圖5所示。電長度lback,lDUT,lfront決定PIM的值。
lfront為DUT反向斷面到DUT內部第一個非線性點的距離,lDUT為DUT中第一個非線性點到最后一個非線性點之間的距離,lback為最后一個 非線性點到DUT前向端面之間的距離。源Vfront和Vback表示出現在DUT端面的測量系統的殘余IM以及負載的電長度lload和負載阻抗 Zload。
不同的電長度lback,lDUT,lfront也對應著不同的反射系數,為了便于分析,引入圖6的模型。源反射系數,負載反射系數包含的信息不但表明了被測器件的各種電長度,還表明了在不同負載下的匹配狀態。

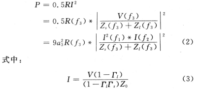
通過上面的討論,所有IM源的電壓在相位上疊加,在點源上形成的V(i(f))可以用N級泰勒級數近似表示:

那么PIM產生的功率的表達式為:


[page]
2 測量數據與計算數據的對比
為了驗證該方法的有效性,本文給出了兩個頻段的PIM值的計算與測量結果對比。
頻段l:800 MHz的通信系統的發射頻段為869~894 MHz,接收頻段為824~849 MHz。如圖7所示。

同理得到第二個頻段:1 800 MHz通信的發射頻段為1 805~1 880 MHz,接收頻段為1 730~1 880 MHz。如圖8所示。

在800 MHz頻段內,測量的接50 Ω負載的PIM值的范圍是-69.3~-70.5 dBm,差值為1.2 dB,計算的接50 Ω負載的PIM值的范圍是-68.8~-69.5 dBm,差值為0.7 dB,可以得出計算和測量的值相差很小。測量的開路狀態的PIM值的范圍是-88.4~-89.2 dBm,差值為O.8 dB計算的開路狀態的PIM值的范圍是-88.1~-89.1 dBm,差值為1 dB。接負載和開路,兩者PIM大約差19 dB。
在l 800 MHz頻段內,測量的接50 Ω負載的PIM值的范圍是-119.1~-120.0 dBm,差值為O.9 dB。計算的接50 Ω負載的PIM值的范圍是-118.1~-120.0 dBm,差值為1.9 dB可以得出計算和測量的值相差很小。
測量的開路狀態的PIM值的范圍是-109.O~-109.9 dBm,差值為0.9 dB,計算的開路狀態的PIM值的范圍是-109.8~-110.5 dBm,差值為0.7 dB,接負載和開路,兩者PIM大約差10 dB。
由以上的分析可知,這種計算方法計算出來的PIM值和真實的PIM值十分接近,并且隨頻率的變化趨勢一致。同時可以看出,在開路的時候所測量的 PIM明顯要比接負載的時候所測量的PIM要大,增大的PIM值是因為匹配不好所造成,當然,相同的負載狀況在不同的頻率下呈現的匹配狀態是不一樣的。
3 結語
本文以連接器模型為基礎,利用負載反射系數,源反射系數估算同軸連接器在微波無源網絡中的PIM失真值。由此得到在不同負載下同軸連接器的PIM值。
文中分別計算和測量了在接50 Ω負載和開路兩個狀態的PIM值。根據計算和測量數據的對比結果,由負載反射系數,源反射系數估算同軸連接器在微波無源網絡中的PIM失真值與真實測量值很吻合,這說明了用負載反射系數,源反射系數估算同軸連接器在微波無源網絡中的PIM失真值的方法是有效的。提出了一種新的對于連接器互調的測試方法,使用這種方法測試時不需要對連接器做專門的工裝,而且可以不做破壞性實驗,實現連接器的個個檢驗,而不是傳統測試方案中的抽檢,從根本上保證了連接器互調的可靠性,真正實行了檢驗的作用。




