【導讀】有源鉗位正激(ACF)控制器在高頻dc-dc模塊中很受歡迎:近零電壓開關、減小尺寸的磁性器件和高能效的設計是ACF的特點。如果設計功率級需要注意任何高功率設計,那么從轉換器的控制-輸出傳遞函數可以很好地了解補償策略,以滿足交越和相位裕度等設計目標。本文將先論述ACF傳遞函數,然后再給出一個典型的補償示例。
1.前言
有源鉗位正激(ACF)控制器在高頻dc-dc模塊中很受歡迎:近零電壓開關、減小尺寸的磁性器件和高能效的設計是ACF的特點。如果設計功率級需要注意任何高功率設計,那么從轉換器的控制-輸出傳遞函數可以很好地了解補償策略,以滿足交越和相位裕度等設計目標。本文將先論述ACF傳遞函數,然后再給出一個典型的補償示例。
2.功率級運行
圖1顯示的是一個ACF的簡化電路圖,其具體運行細節可見參考文獻[1]。正常情況下,晶體管Q1在經典的正激轉換器中工作,但當它關斷時,其退磁過程會涉及到鉗位電容Cclp和初級電感Lmag之間的諧振周期。一部分存儲在磁化電感中的能量會將漏極連接處的集總電容轉移,同時VDS(t)上升,直到找到流過Q2體二極管的路徑。然后,通過在零電壓開關(ZVS)條件下導通Q2,使后者短路:現在,Q1的漏極被鉗位到Vin加Cclp的電壓Vclp??紤]到Lmag和Cclp之間的諧振周期,循環電流最終會反轉,并流過Q2(導通狀態)和磁化電感Lmag。

在某個點,控制器將指示Q2開通,迫使電流離開包括Cclp在內的網格,自然地流過輸入源Vin和漏極集總電容:漏極節點開始下降,直到一個新的開關周期,從而降低了導通損耗。

如圖2所示,在MOSFET轉換之間插入了一個死區時間,從而提供了產生漏源諧振周期的時間,該周期現在涉及Clump的Lmag,以達到一個谷點。在某些運行條件下(較小的輸出電流),漏波觸地會導致零導通損耗。
3.傳遞函數
在補償轉換器或任何系統之前,您需要功率級的控制-輸出傳輸函數。換句話說,如果您想用正弦波來激勵控制輸入,這里指的是脈寬調制器(PWM),那如何通過功率級來傳輸信息,并在輸出中產生響應呢?將響應與激勵聯系起來的數學關系就是我們需要的傳遞函數H。
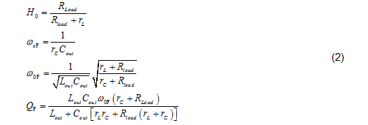
公式(1)導出了電壓模式下ACF的控制-輸出傳遞函數,通過四階多項式描述了該轉換器:

方程由兩個部分組成:左邊是經典正激轉換器項,其中:

公式(1)中的第二項表示有源鉗位電路的增加,以及圍繞Cclp和Lmag建立諧振網絡的影響:

在這些表達式中,rL和rC分別表示輸出電感(Lout)和電容(Cout)等效串聯電阻(ESR),ron1表示主開關晶體管rDS(on),ron2表示有源鉗位晶體管rDS(on),N表示變壓器匝比,D0表示靜態占空比。
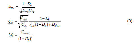
根據該表達式,我們可獲得10-Hz至100-kHz頻率范圍的幅值和相位響應的波特圖(如圖3所示)。各器件的值即為由安森美半導體的NCP1566參考文獻[2]供電的3.3-V/30-A dc-dc模塊的值。有源鉗位部分是特意非阻尼的,并假定Q2是低rDS(on)的MOSFET。

當頻率達到公式(3)所描述的諧振時,您可觀察到受相位嚴重失真影響的幅值毛刺。幅值下降歸因于一次側諧振電流的突增,這導致了一次側功率MOSFET Q1的壓降。如公式(1)中右側項所示,此壓降會從輸入電壓Vin中減去,并創建可觀察到的響應陷波。根據參考文獻[3]和文獻[4]的建議,選擇一個在Lmag-Cclp的最小諧振頻率之前的交越點是明智的,因為此時存在嚴重的相位滯后。但是,如果在有源鉗位電路中施加適當的阻尼,則可以擴展交越。如參考文獻[5]所示,在瞬態條件下,必須仔細研究這種決策對主MOSFET漏源峰值電壓的影響。圖4顯示相同的傳遞函數,現在被Q2的2.5-ΩrDS(on)所抑制:幅值和相位響應非常接近經典正激轉換器的幅值和相位響應,而且可以在諧振陷波之外選擇fc。

4.脈寬調制器
公式 (1)中給出的表達式不包括PWM模塊的影響。在一個隔離開的dc-dc轉換器中,調節回路位于二次側,光耦合器會偏置控制器反饋引腳來控制占空比。在大功率轉換器中常見的一種方案是并聯調節器:光耦合器不是通過公共發射極配置將引腳拉低至接地,而是通過發射極連接控制器并注入電流。此電流在內部呈鏡像,可以拉低一個由50kΩ電阻加載的內部節點。這種電壓偏置PWM比較器,可確保穩壓。當輸入動態電阻壓降較小時,由于準恒定VCE電壓,該技術使米勒效應最小化:光耦合器極被推到更高的頻率,避免閉環時發生問題。動態電阻rd=400Ω,但對頻率分析不產生影響。如果將電容反饋引腳接地,則會產生影響。但是,除此配置之外,阻抗需為ac,因為單獨的光耦合器可以調節輸入電流。此電流被10除(單位記為div),并通過拉高阻抗,調節內部操作點。
在倒相引腳上,定時電容Cramp由取決于輸入電壓的電流充電。因此,模擬鋸齒波的斜率將與輸入電壓有關,隨著Vin變化而動態地改變增益。此配置實現我們所謂的前饋操作。可能顯示參考文獻[6]該調制單元的小信號增益等于:

在公式(1)中,您可看到在方程的右邊出現了Vin,表示傳輸函數的直流增益(s=0)將隨輸入電壓的變化而變化。因此,交越頻率和穩定性也許都會受到影響。通過PWM傳遞函數(公式(4)),分母中的Vin抵消了輸入電壓的影響,在輸入范圍內穩定了環路增益和交越頻率。
5.Type 3補償器
為設計ACF轉換器的環路增益,我們需要將PWM模式激勵因子D(s)與觀察到的變量Vout(s)響應聯系起來的傳遞函數。我們將通過極點-零點位置應用選定的設計策略,以確保轉換器的強固性和良好的瞬態響應。
圖6表示含一個Type3補償器的典型架構,Type3補償器采用光耦合器隔離。該光耦合器本身受電流傳輸比(CTR)和極點的影響,極點的位置取決于負載電阻。在本應用中,分流調節反饋輸入讀取光耦合器電流。負載電阻是rd且相當小,這意味著我們必須描述一個相當高頻率的光耦合器極點,以便之后中和它參考文獻[7]。這里注意,LED連接到二次側的一個安靜的Vcc點(或輔助電壓Vaux),與Vout完全交流耦合。需要注意這一點,否則會產生快速的通道,使補償器參考文獻[7]的頻率響應失真。LED中的交流電流(忽略其動態電阻)由下式給出:

Zf和Zi 是圖6中所圈部分的阻抗。從這兩個網絡中,我們可用快速分析電路技術參考文獻[8]來推斷我們想要的傳遞函數零點的位置。在Vout有激勵的情況下,需要怎樣的Zf和Zi 阻抗組合,才能使輸出VFB為零?

有兩個條件:
1. 當Vout在sz處調諧時,Zi幅值無窮大,則VFB(sz) = 0 V。Zi由分子和分母D(s)組成。當D(sz) = 0時,這個阻抗無窮大。因此,這個一階網絡的極點是我們想要的零點。影響Zi的時間常數是通過暫時斷開C3和“觀察”通過其連接端子提供的電阻來獲得的。在我們的思維中,時間常數是,網絡極點或傳遞函數零點就僅是。
2. 當R2和C1串聯構成變換短路時,輸出也為零。這個阻抗被定義為。您可以通過得到零點,從而定義了第二個零點位置在。接下來,我們可根據公式更新公式(7)。
推薦閱讀:




