【導讀】若將矩形脈沖序列信號加在電壓初值為零的RC串聯電路上,電路的瞬變過程就周期性地發生了。顯然,RC電路的脈沖響應就是連續的電容充放電過程。如圖所示。
1.RC電路的矩形脈沖響應
若將矩形脈沖序列信號加在電壓初值為零的RC串聯電路上,電路的瞬變過程就周期性地發生了。顯然,RC電路的脈沖響應就是連續的電容充放電過程。如圖所示。

若矩形脈沖的幅度為U,脈寬為tp。電容上的電壓可表示為:

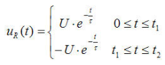
電阻上的電壓可表示為:

即當 0到t1時,電容被充電;當t1到t2 時,電容器經電阻R放電。
(也可以這樣解釋:電容兩端電壓不能突變,電流可以,所以反映在圖中就是電阻兩端的電壓發生了突變。)
2.RC微分電路
取RC串聯電路中的電阻兩端為輸出端,并選擇適當的電路參數使時間常數τ《《tp(矩形脈沖的脈寬)。由于電容器的充放電進行得很快,因此電容器C上的電壓uc(t)接近等于輸入電壓ui(t),這時輸出電壓為:

上式說明,輸出電壓uo(t)近似地與輸入電壓ui(t)成微分關系,所以這種電路稱微分電路。

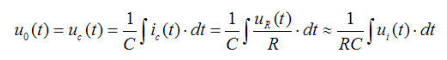
3.RC積分電路
如果將RC電路的電容兩端作為輸出端,電路參數滿足τ》》tp(矩形脈沖的脈寬)的條件,則成為積分電路。由于這種電路電容器充放電進行得很慢,因此電阻R上的電壓ur(t)近似等于輸入電壓ui(t),其輸出電壓uo(t)為:

上式表明,輸出電壓uo(t)與輸入電壓ui(t)近似地成積分關系。

積分器實質上是一個低通濾波器,積分時間越長,則其截止頻率越低。
4.時間常數
RC電路中,時間常數=R*C ;
RL電路中,時間常數=L/R。
RC電路中:
積分電路,電路輸出為電容兩端,時間常數大;
微分電路,電路輸出為電阻兩端,時間常數小。
推薦閱讀:




